🇳🇴 🇬🇧 🇩🇪 🇨🇿 🇫🇮

Meteor, poloha: Brovst 2022-08-12 23:04:08 UTC

Soubor KML  |  InteraktivnĂ­ mapa

Mapa zobrazuje dráhy meteoru. Světlejší čáry ukazují směry od pozorovacích stanic při objevení se meteoru a tmavší čáry, kde byl naposledy viděn. Modrá šipka značí viditelnou dráhu meteoru.

static map
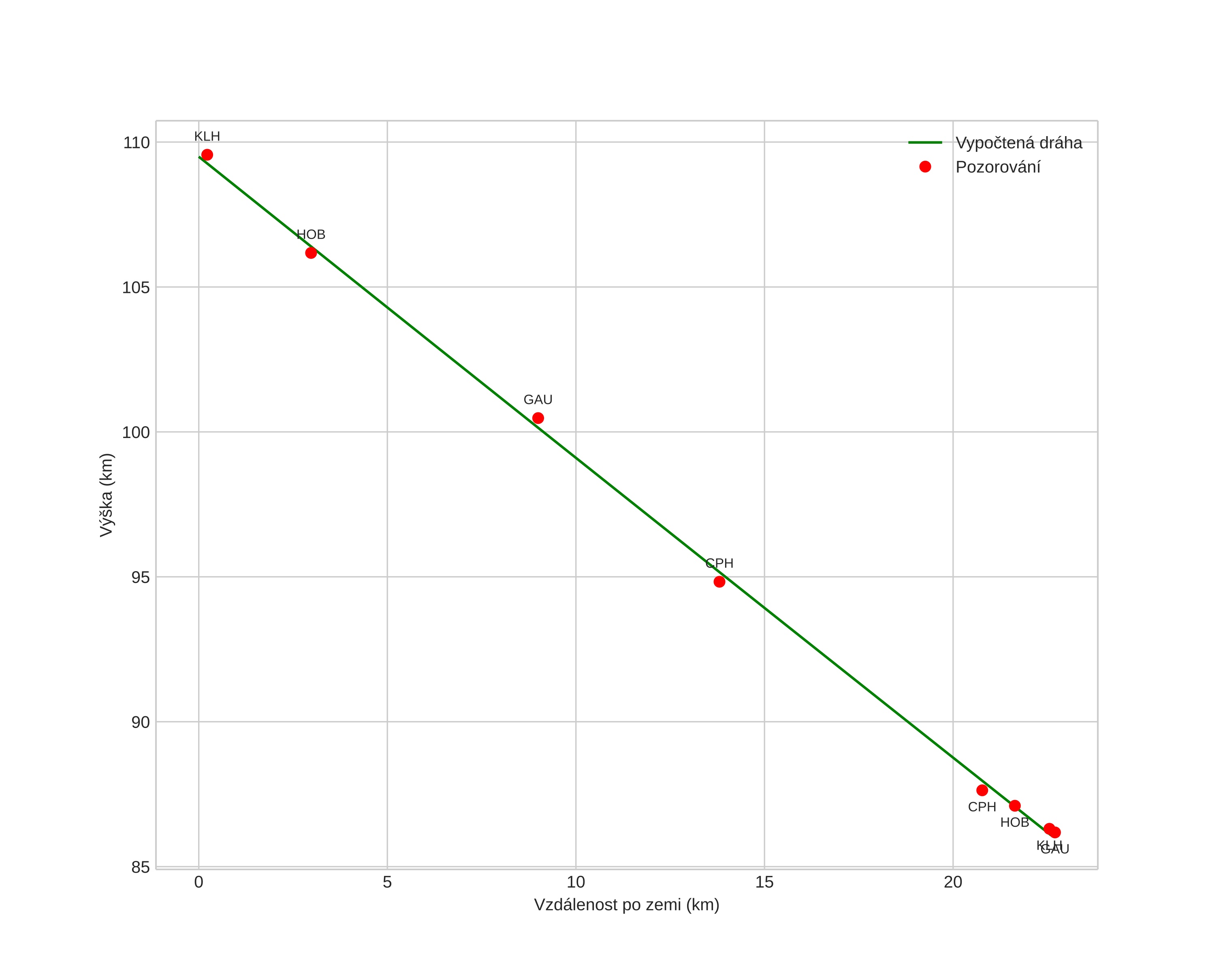
height profile
Atmosférická dráha meteoru:
Počáteční výška: 109,6 km
Konečná výška: 86,0 km
Počáteční poloha: 57,420N 9,731E
Konečná poloha: 57,282N 9,454E
Směr: 227,2°
Sklon: 46,2°
VstupnĂ­ rychlost: 60,8 km/s
Rektascenze radiantu: 03:11 (47,9°)
Deklinace radiantu: 59,3°
MeteorickĂ˝ roj: Perseidy
Elementy dráhy meteoroidu:
Vzdálenost v periheliu: 0,951 AU
Excentricita: 1,045
Sklon dráhy: 111,8°
Délka vzestupného uzlu: 139,9°
Argument perihelia: 151,6°
Střední anomálie: 0,2°
Epocha: 2022 AUG 12 23:04:08
orbit plot

NeinteraktivnĂ­ graf | InteraktivnĂ­ graf

position vs time
speed and acceleration