🇳🇴 🇬🇧 🇩🇪 🇨🇿 🇫🇮

Meteor, poloha: Notodden 2022-08-13 00:19:04 UTC

Soubor KML  |  InteraktivnĂ­ mapa

Mapa zobrazuje dráhy meteoru. Světlejší čáry ukazují směry od pozorovacích stanic při objevení se meteoru a tmavší čáry, kde byl naposledy viděn. Modrá šipka značí viditelnou dráhu meteoru.

static map
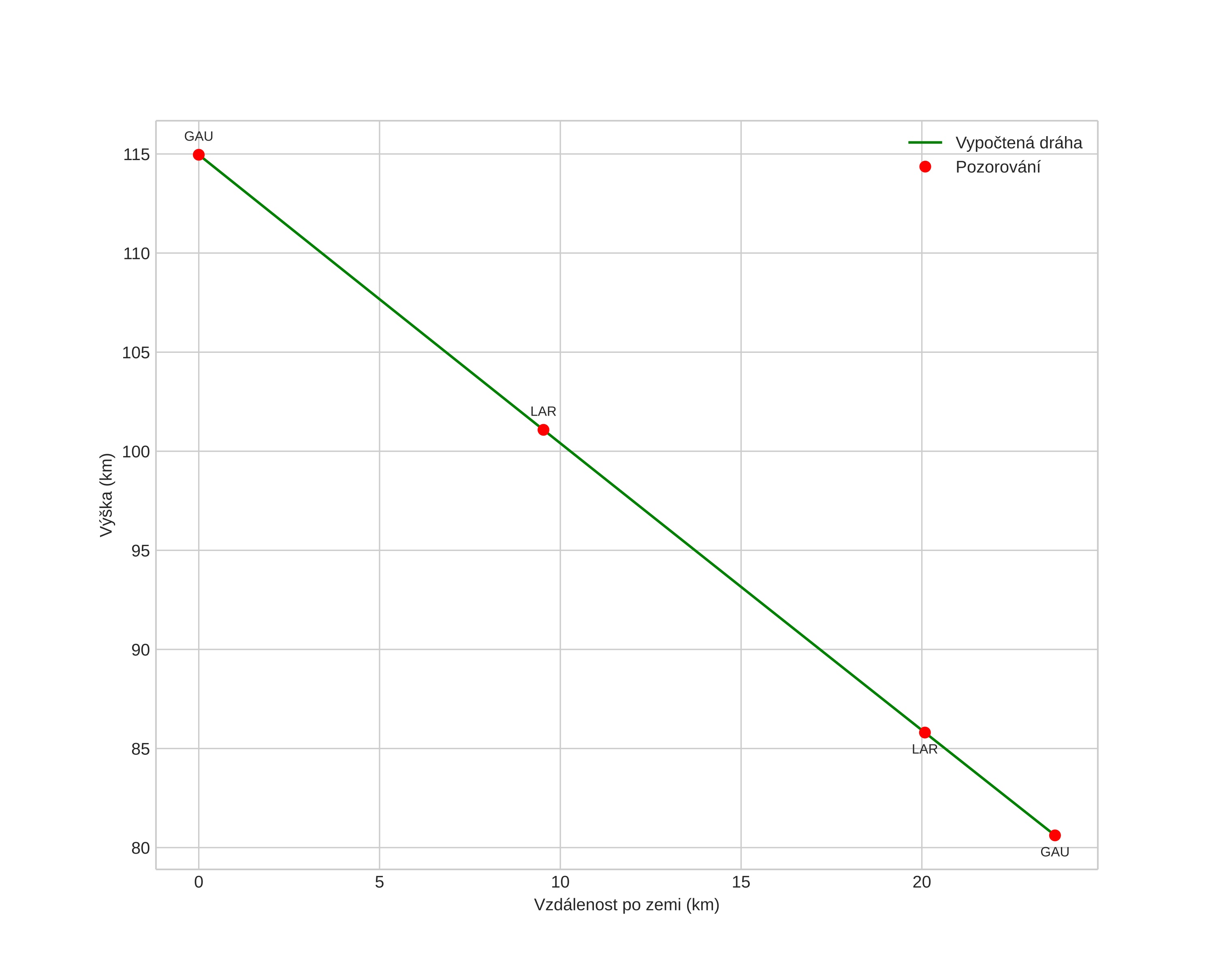
height profile
Atmosférická dráha meteoru:
Počáteční výška: 116,9 km
Konečná výška: 82,3 km
Počáteční poloha: 59,848N 9,530E
Konečná poloha: 59,736N 9,158E
Směr: 239,3°
Sklon: 55,0°
VstupnĂ­ rychlost: 59,8 km/s
Rektascenze radiantu: 03:10 (47,7°)
Deklinace radiantu: 58,7°
MeteorickĂ˝ roj: Perseidy
Elementy dráhy meteoroidu:
Vzdálenost v periheliu: 0,950 AU
Excentricita: 0,936
Sklon dráhy: 112,0°
Délka vzestupného uzlu: 140,0°
Argument perihelia: 150,6°
Střední anomálie: 0,4°
Epocha: 2022 AUG 13 00:19:04
orbit plot

NeinteraktivnĂ­ graf | InteraktivnĂ­ graf

position vs time
speed and acceleration