🇳🇴 🇬🇧 🇩🇪 🇨🇿 🇫🇮

Meteor, poloha: Kyrkjebygda 2022-08-13 00:22:56 UTC

Soubor KML  |  InteraktivnĂ­ mapa

Mapa zobrazuje dráhy meteoru. Světlejší čáry ukazují směry od pozorovacích stanic při objevení se meteoru a tmavší čáry, kde byl naposledy viděn. Modrá šipka značí viditelnou dráhu meteoru.

static map
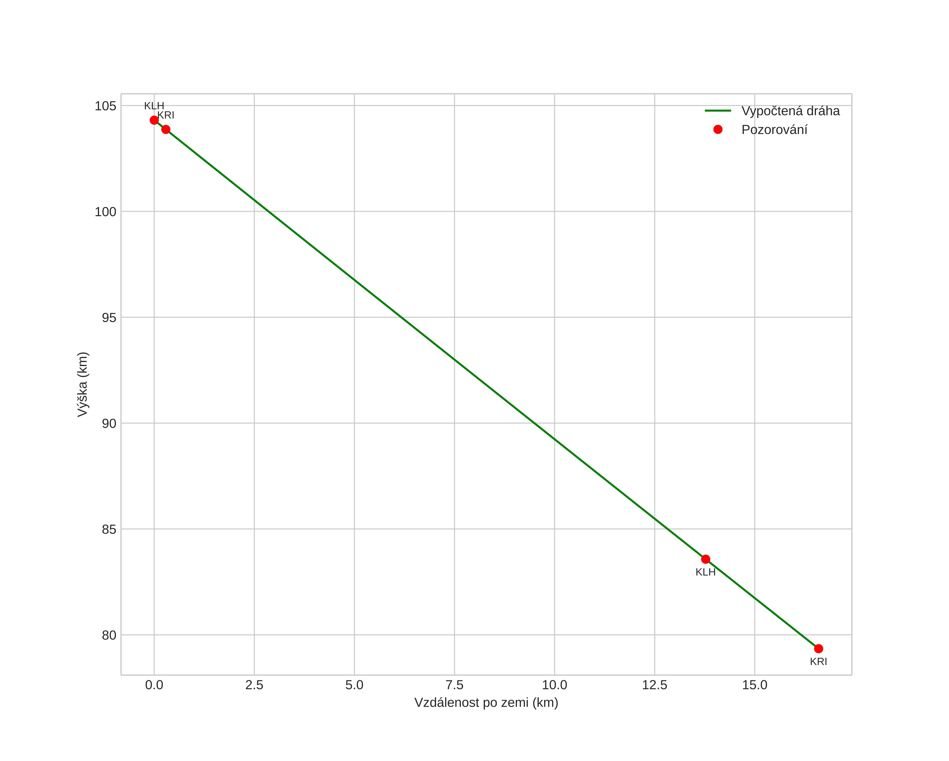
height profile
Atmosférická dráha meteoru:
Počáteční výška: 104,3 km
Konečná výška: 79,3 km
Počáteční poloha: 58,615N 7,571E
Konečná poloha: 58,530N 7,335E
Směr: 235,4°
Sklon: 56,4°
VstupnĂ­ rychlost: 70,2 km/s
Rektascenze radiantu: 02:56 (44,2°)
Deklinace radiantu: 60,9°
MeteorickĂ˝ roj: Perseidy
Elementy dráhy meteoroidu:
Vzdálenost v periheliu: 0,982 AU
Excentricita: 2,035
Sklon dráhy: 114,5°
Délka vzestupného uzlu: 140,0°
Argument perihelia: 162,5°
Střední anomálie: 10,8°
Epocha: 2022 AUG 13 00:22:56
orbit plot

NeinteraktivnĂ­ graf | InteraktivnĂ­ graf

position vs time
speed and acceleration