🇳🇴 🇬🇧 🇩🇪 🇨🇿 🇫🇮

Meteor, poloha: Smögen 2022-08-13 20:58:08 UTC

Soubor KML  |  InteraktivnĂ­ mapa

Mapa zobrazuje dráhy meteoru. Světlejší čáry ukazují směry od pozorovacích stanic při objevení se meteoru a tmavší čáry, kde byl naposledy viděn. Modrá šipka značí viditelnou dráhu meteoru.

static map
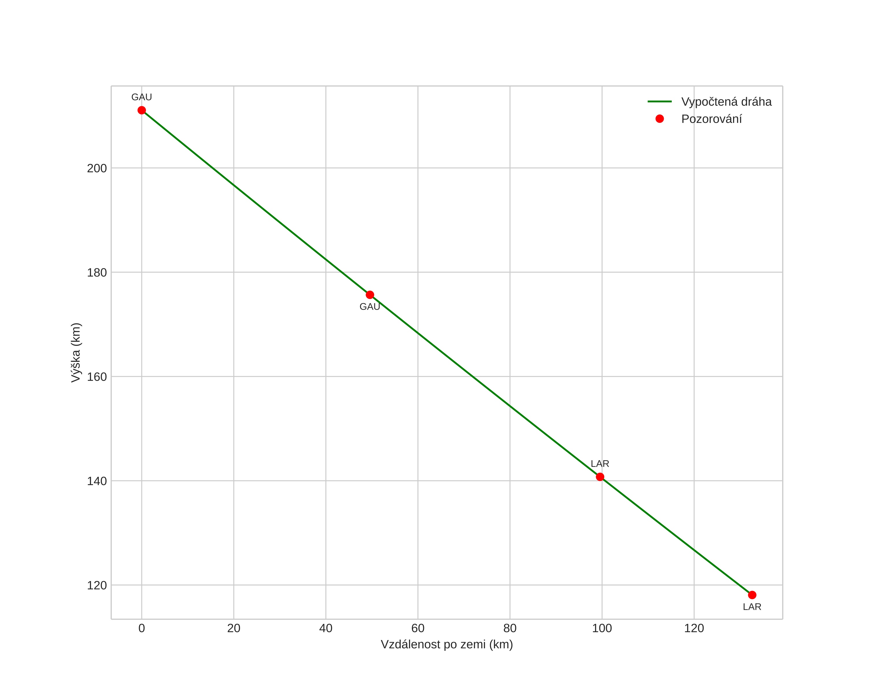
height profile
Atmosférická dráha meteoru:
Počáteční výška: 212,3 km
Konečná výška: 118,0 km
Počáteční poloha: 59,209N 12,193E
Konečná poloha: 58,195N 10,990E
Směr: 212,1°
Sklon: 35,4°
VstupnĂ­ rychlost: 91,6 km/s
Rektascenze radiantu: 03:32 (53,0°)
Deklinace radiantu: 58,2°
MeteorickĂ˝ roj: sporadickĂ˝
Elementy dráhy meteoroidu:
Vzdálenost v periheliu: 0,968 AU
Excentricita: 4,585
Sklon dráhy: 125,6°
Délka vzestupného uzlu: 140,8°
Argument perihelia: 161,1°
Střední anomálie: 55,9°
Epocha: 2022 AUG 13 20:58:08
orbit plot

NeinteraktivnĂ­ graf | InteraktivnĂ­ graf

position vs time
speed and acceleration

Gaustatoppen (GAU) cam7


gnomonic
Videa
• Gnomonická
• Gnomonická se souřadnicemi
• Původní
• Původní se souřadnicemi
Obrázky
• Gnomonická
• Gnomonická se souřadnicemi
• Gnomonická s popisky
• Původní
• Původní se souřadnicemi
Textové soubory
• Detekce
• Pozorování
• Souřadnice
• Protokol
Jasnost