🇳🇴 🇬🇧 🇩🇪 🇨🇿 🇫🇮

Meteor, poloha: Hirtshals 2022-08-13 21:01:49 UTC

Soubor KML  |  InteraktivnĂ­ mapa

Mapa zobrazuje dráhy meteoru. Světlejší čáry ukazují směry od pozorovacích stanic při objevení se meteoru a tmavší čáry, kde byl naposledy viděn. Modrá šipka značí viditelnou dráhu meteoru.

static map
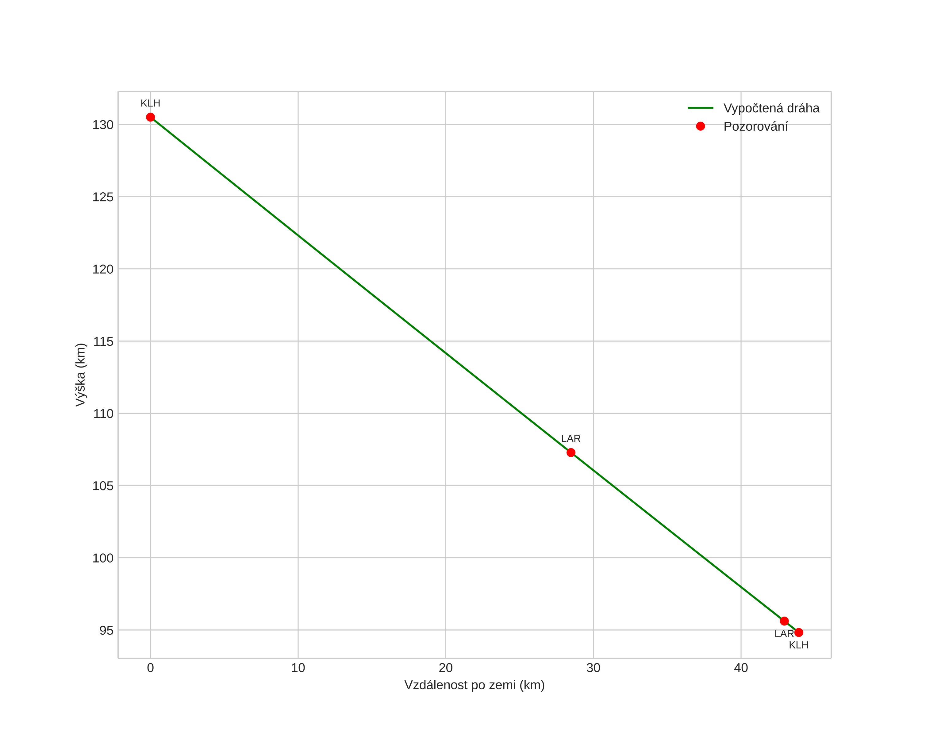
height profile
Atmosférická dráha meteoru:
Počáteční výška: 131,0 km
Konečná výška: 94,8 km
Počáteční poloha: 58,546N 10,153E
Konečná poloha: 58,218N 9,719E
Směr: 214,9°
Sklon: 39,2°
VstupnĂ­ rychlost: 62,4 km/s
Rektascenze radiantu: 02:54 (43,5°)
Deklinace radiantu: 60,3°
MeteorickĂ˝ roj: Perseidy
Elementy dráhy meteoroidu:
Vzdálenost v periheliu: 0,982 AU
Excentricita: 1,228
Sklon dráhy: 111,3°
Délka vzestupného uzlu: 140,8°
Argument perihelia: 160,7°
Střední anomálie: 1,4°
Epocha: 2022 AUG 13 21:01:49
orbit plot

NeinteraktivnĂ­ graf | InteraktivnĂ­ graf

position vs time
speed and acceleration