🇳🇴 🇬🇧 🇩🇪 🇨🇿 🇫🇮

Meteor, poloha: Hvide Sande 2022-08-13 21:44:39 UTC

Soubor KML  |  InteraktivnĂ­ mapa

Mapa zobrazuje dráhy meteoru. Světlejší čáry ukazují směry od pozorovacích stanic při objevení se meteoru a tmavší čáry, kde byl naposledy viděn. Modrá šipka značí viditelnou dráhu meteoru.

static map
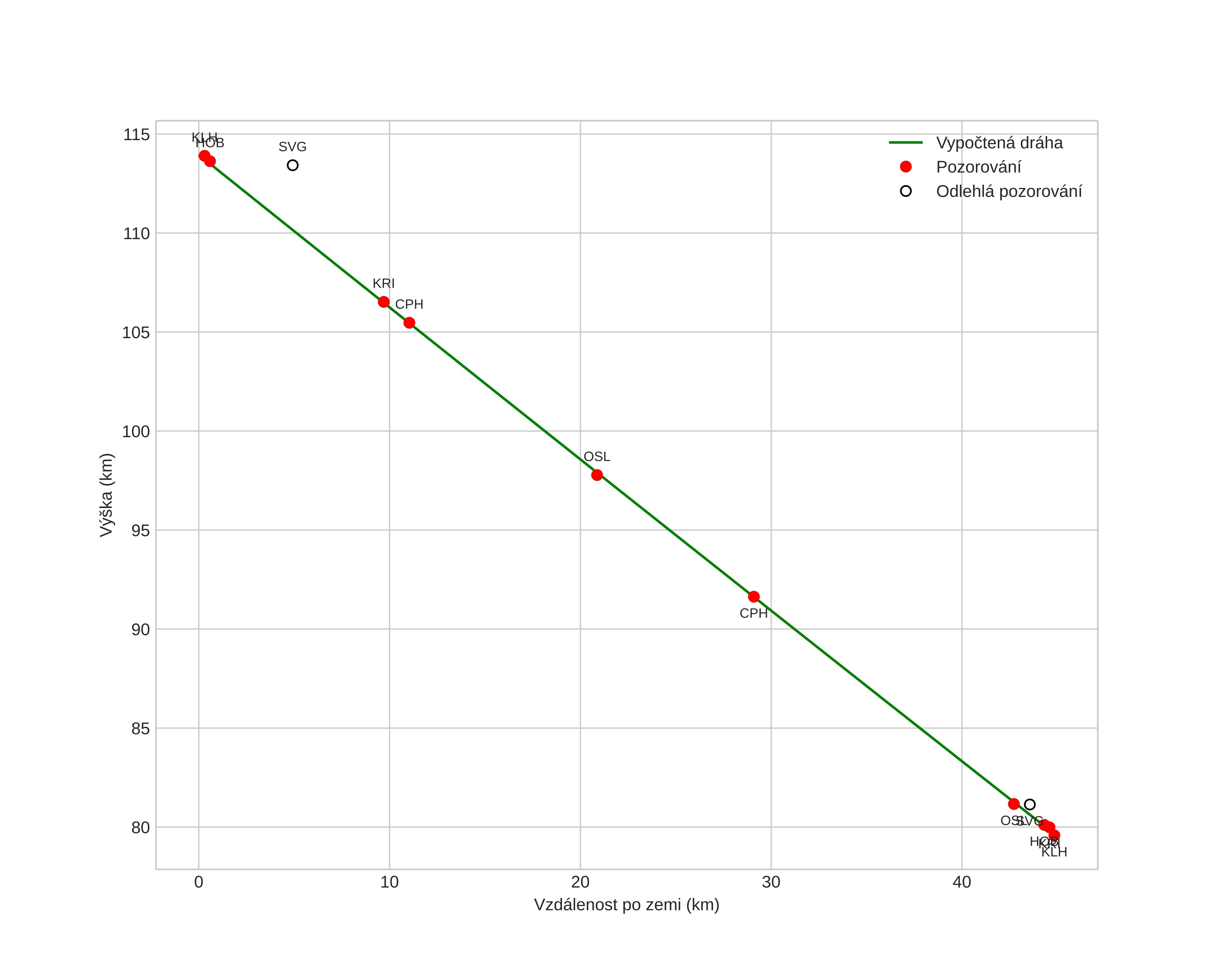
height profile
Atmosférická dráha meteoru:
Počáteční výška: 114,0 km
Konečná výška: 79,7 km
Počáteční poloha: 56,485N 8,400E
Konečná poloha: 56,157N 7,972E
Směr: 216,1°
Sklon: 37,3°
VstupnĂ­ rychlost: 59,9 km/s
Rektascenze radiantu: 03:20 (50,2°)
Deklinace radiantu: 59,1°
MeteorickĂ˝ roj: Perseidy
Elementy dráhy meteoroidu:
Vzdálenost v periheliu: 0,942 AU
Excentricita: 0,954
Sklon dráhy: 111,9°
Délka vzestupného uzlu: 140,8°
Argument perihelia: 148,8°
Střední anomálie: 0,2°
Epocha: 2022 AUG 13 21:44:39
orbit plot

NeinteraktivnĂ­ graf | InteraktivnĂ­ graf

position vs time
speed and acceleration