🇳🇴 🇬🇧 🇩🇪 🇨🇿 🇫🇮

Meteor, poloha: Oksbøl 2022-08-13 22:50:57 UTC

Soubor KML  |  InteraktivnĂ­ mapa

Mapa zobrazuje dráhy meteoru. Světlejší čáry ukazují směry od pozorovacích stanic při objevení se meteoru a tmavší čáry, kde byl naposledy viděn. Modrá šipka značí viditelnou dráhu meteoru.

static map
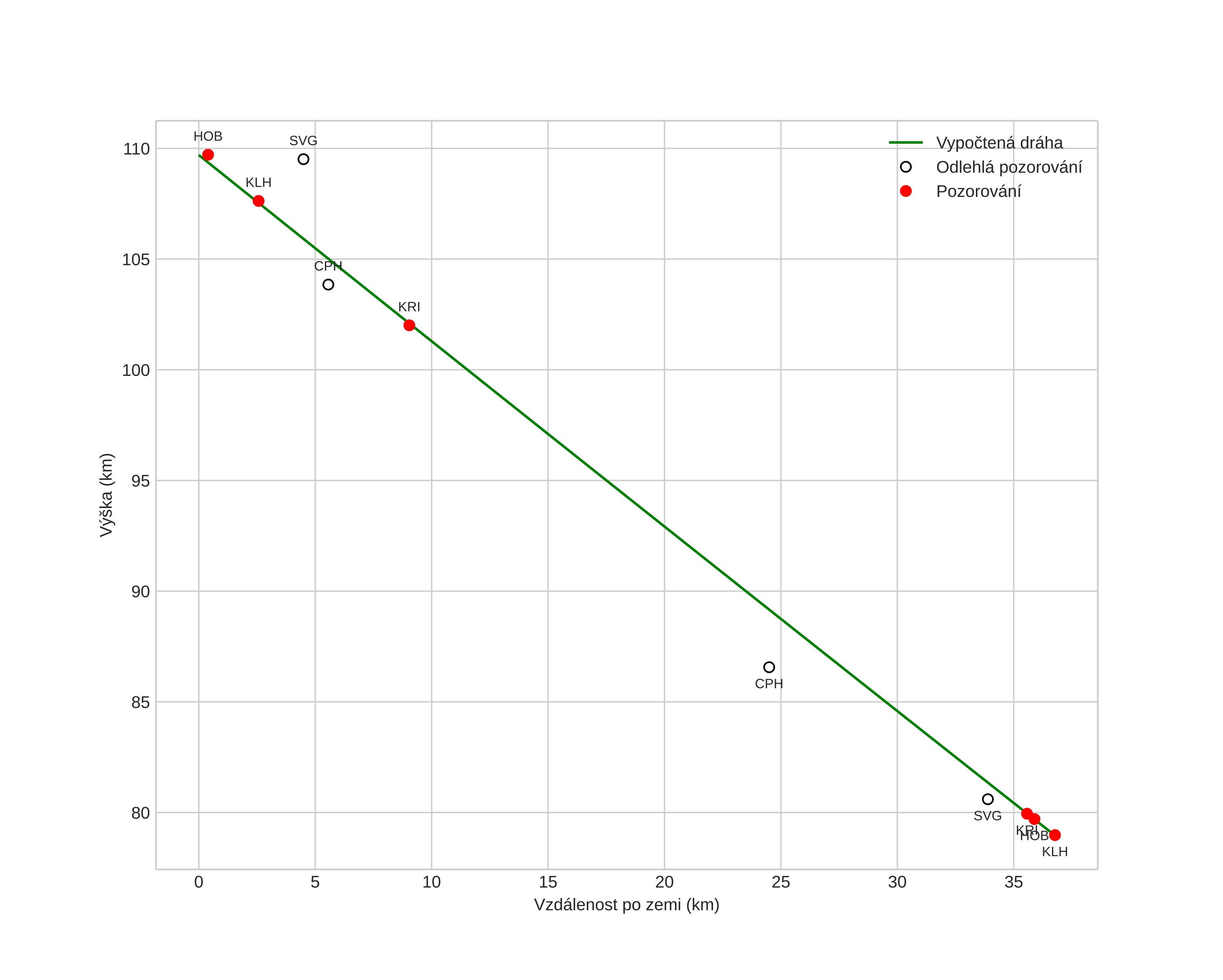
height profile
Atmosférická dráha meteoru:
Počáteční výška: 110,2 km
Konečná výška: 78,8 km
Počáteční poloha: 55,669N 7,844E
Konečná poloha: 55,436N 7,459E
Směr: 223,2°
Sklon: 41,5°
VstupnĂ­ rychlost: 60,9 km/s
Rektascenze radiantu: 03:25 (51,5°)
Deklinace radiantu: 58,6°
MeteorickĂ˝ roj: Perseidy
Elementy dráhy meteoroidu:
Vzdálenost v periheliu: 0,937 AU
Excentricita: 1,015
Sklon dráhy: 113,2°
Délka vzestupného uzlu: 140,9°
Argument perihelia: 148,3°
Střední anomálie: 0,0°
Epocha: 2022 AUG 13 22:50:57
orbit plot

NeinteraktivnĂ­ graf | InteraktivnĂ­ graf

position vs time
speed and acceleration