🇳🇴 🇬🇧 🇩🇪 🇨🇿 🇫🇮

Meteor, poloha: Risør 2022-08-13 23:48:22 UTC

Soubor KML  |  InteraktivnĂ­ mapa

Mapa zobrazuje dráhy meteoru. Světlejší čáry ukazují směry od pozorovacích stanic při objevení se meteoru a tmavší čáry, kde byl naposledy viděn. Modrá šipka značí viditelnou dráhu meteoru.

static map
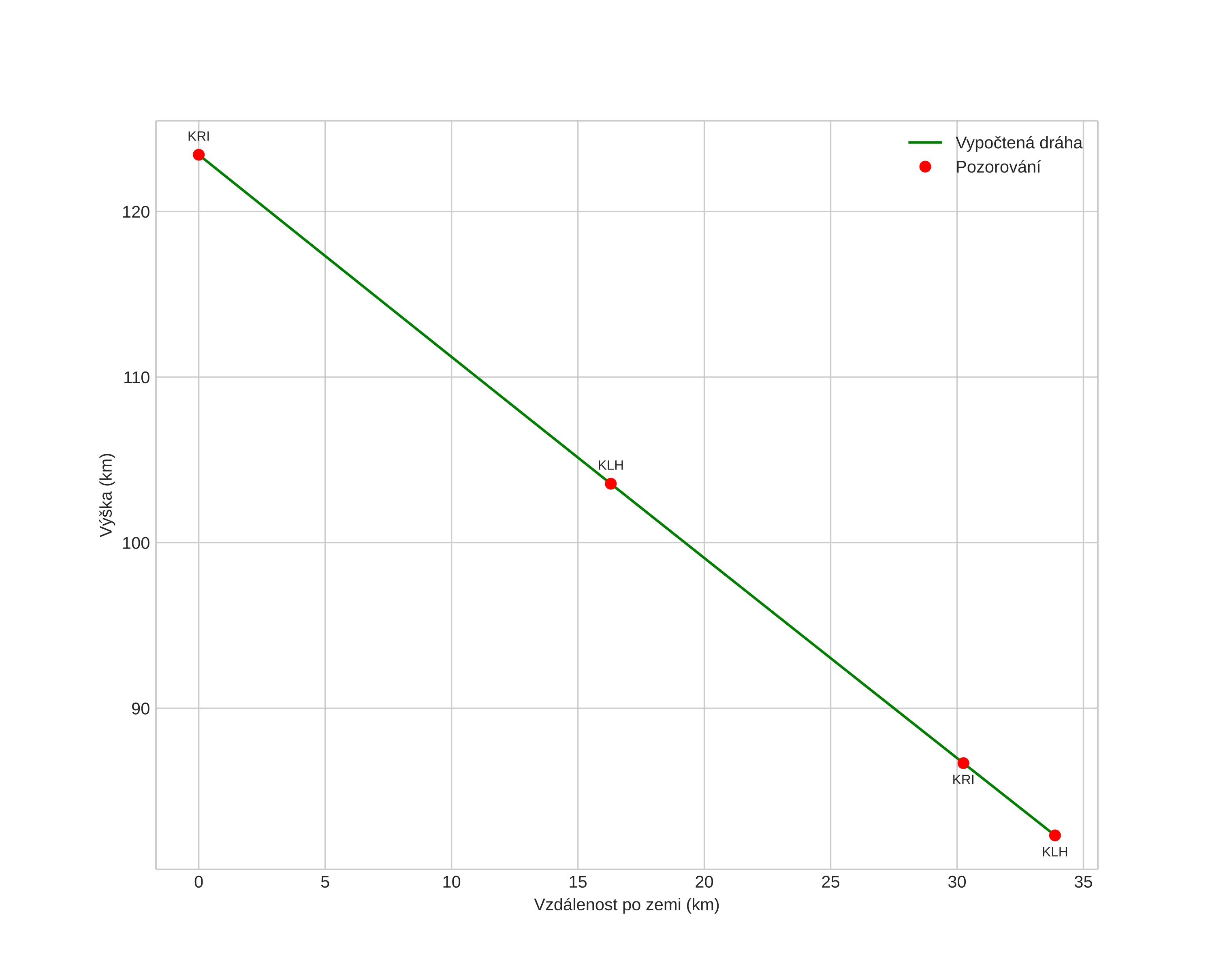
height profile
Atmosférická dráha meteoru:
Počáteční výška: 123,7 km
Konečná výška: 82,3 km
Počáteční poloha: 58,719N 9,737E
Konečná poloha: 58,547N 9,249E
Směr: 236,1°
Sklon: 50,5°
VstupnĂ­ rychlost: 73,8 km/s
Rektascenze radiantu: 03:13 (48,3°)
Deklinace radiantu: 57,4°
MeteorickĂ˝ roj: sporadickĂ˝
Elementy dráhy meteoroidu:
Vzdálenost v periheliu: 0,977 AU
Excentricita: 2,216
Sklon dráhy: 121,0°
Délka vzestupného uzlu: 140,9°
Argument perihelia: 161,5°
Střední anomálie: 14,1°
Epocha: 2022 AUG 13 23:48:22
orbit plot

NeinteraktivnĂ­ graf | InteraktivnĂ­ graf

position vs time
speed and acceleration