🇳🇴 🇬🇧 🇩🇪 🇨🇿 🇫🇮

Meteor, poloha: Thisted 2022-08-14 00:04:49 UTC

Soubor KML  |  InteraktivnĂ­ mapa

Mapa zobrazuje dráhy meteoru. Světlejší čáry ukazují směry od pozorovacích stanic při objevení se meteoru a tmavší čáry, kde byl naposledy viděn. Modrá šipka značí viditelnou dráhu meteoru.

static map
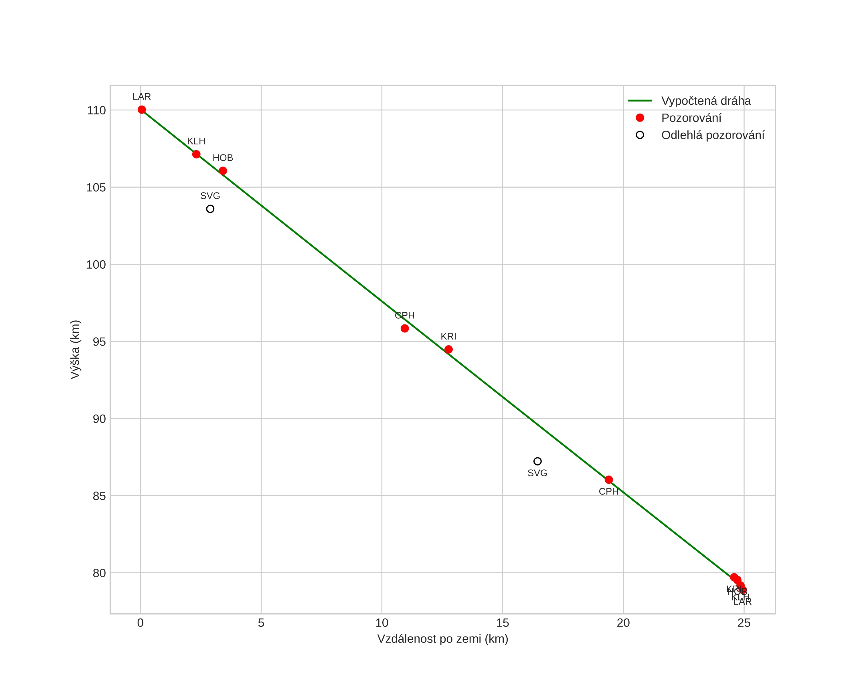
height profile
Atmosférická dráha meteoru:
Počáteční výška: 110,0 km
Konečná výška: 78,9 km
Počáteční poloha: 57,059N 8,967E
Konečná poloha: 56,931N 8,630E
Směr: 235,2°
Sklon: 51,3°
VstupnĂ­ rychlost: 61,9 km/s
Rektascenze radiantu: 03:14 (48,6°)
Deklinace radiantu: 58,0°
MeteorickĂ˝ roj: Perseidy
Elementy dráhy meteoroidu:
Vzdálenost v periheliu: 0,958 AU
Excentricita: 1,065
Sklon dráhy: 114,5°
Délka vzestupného uzlu: 140,9°
Argument perihelia: 153,5°
Střední anomálie: 0,3°
Epocha: 2022 AUG 14 00:04:49
orbit plot

NeinteraktivnĂ­ graf | InteraktivnĂ­ graf

position vs time
speed and acceleration