🇳🇴 🇬🇧 🇩🇪 🇨🇿 🇫🇮

Meteor, poloha: Munkedal 2022-08-14 00:34:29 UTC

Soubor KML  |  InteraktivnĂ­ mapa

Mapa zobrazuje dráhy meteoru. Světlejší čáry ukazují směry od pozorovacích stanic při objevení se meteoru a tmavší čáry, kde byl naposledy viděn. Modrá šipka značí viditelnou dráhu meteoru.

static map
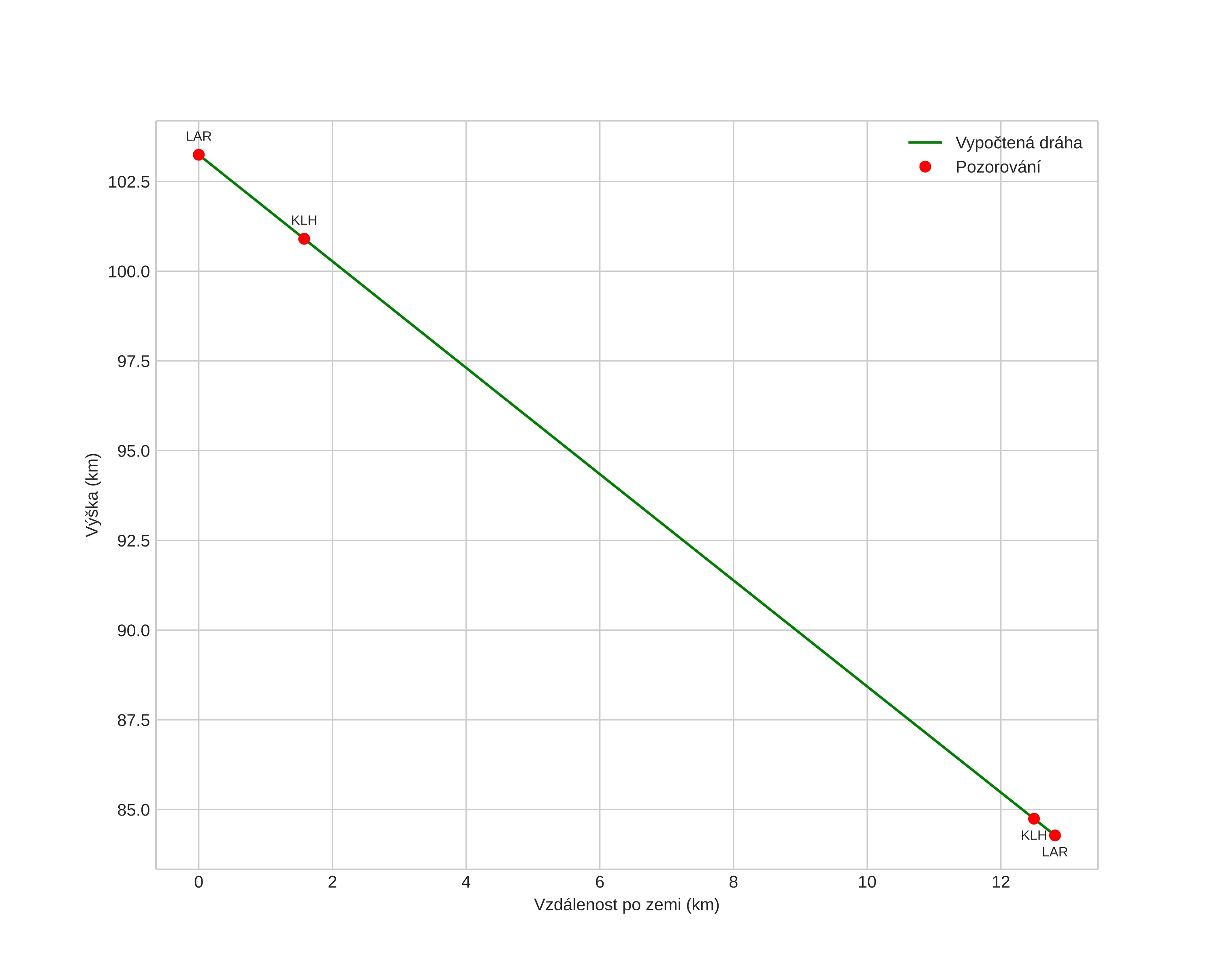
height profile
Atmosférická dráha meteoru:
Počáteční výška: 103,3 km
Konečná výška: 84,6 km
Počáteční poloha: 58,690N 11,786E
Konečná poloha: 58,625N 11,602E
Směr: 235,4°
Sklon: 55,4°
VstupnĂ­ rychlost: 60,5 km/s
Rektascenze radiantu: 03:37 (54,4°)
Deklinace radiantu: 60,5°
MeteorickĂ˝ roj: Perseidy
Elementy dráhy meteoroidu:
Vzdálenost v periheliu: 0,919 AU
Excentricita: 1,069
Sklon dráhy: 110,6°
Délka vzestupného uzlu: 140,9°
Argument perihelia: 145,2°
Střední anomálie: 0,5°
Epocha: 2022 AUG 14 00:34:29
orbit plot

NeinteraktivnĂ­ graf | InteraktivnĂ­ graf

position vs time
speed and acceleration