🇳🇴 🇬🇧 🇩🇪 🇨🇿 🇫🇮

Meteor, poloha: Vestbygd 2022-08-14 00:49:08 UTC

Soubor KML  |  InteraktivnĂ­ mapa

Mapa zobrazuje dráhy meteoru. Světlejší čáry ukazují směry od pozorovacích stanic při objevení se meteoru a tmavší čáry, kde byl naposledy viděn. Modrá šipka značí viditelnou dráhu meteoru.

static map
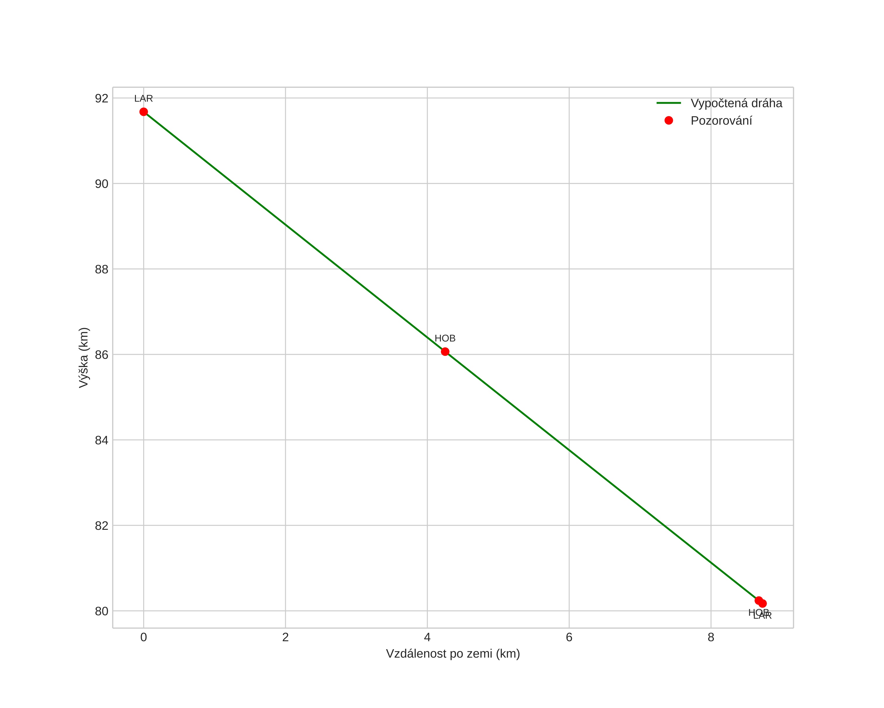
height profile
Atmosférická dráha meteoru:
Počáteční výška: 92,1 km
Konečná výška: 80,0 km
Počáteční poloha: 57,417N 5,906E
Konečná poloha: 57,377N 5,781E
Směr: 239,6°
Sklon: 54,3°
VstupnĂ­ rychlost: 68,8 km/s
Rektascenze radiantu: 03:18 (49,6°)
Deklinace radiantu: 57,4°
MeteorickĂ˝ roj: Perseidy
Elementy dráhy meteoroidu:
Vzdálenost v periheliu: 0,966 AU
Excentricita: 1,672
Sklon dráhy: 119,1°
Délka vzestupného uzlu: 140,9°
Argument perihelia: 157,8°
Střední anomálie: 7,7°
Epocha: 2022 AUG 14 00:49:08
orbit plot

NeinteraktivnĂ­ graf | InteraktivnĂ­ graf

position vs time
speed and acceleration