🇳🇴 🇬🇧 🇩🇪 🇨🇿 🇫🇮

Meteor, poloha: Uggdal 2022-08-14 00:57:56 UTC

Soubor KML  |  InteraktivnĂ­ mapa

Mapa zobrazuje dráhy meteoru. Světlejší čáry ukazují směry od pozorovacích stanic při objevení se meteoru a tmavší čáry, kde byl naposledy viděn. Modrá šipka značí viditelnou dráhu meteoru.

static map
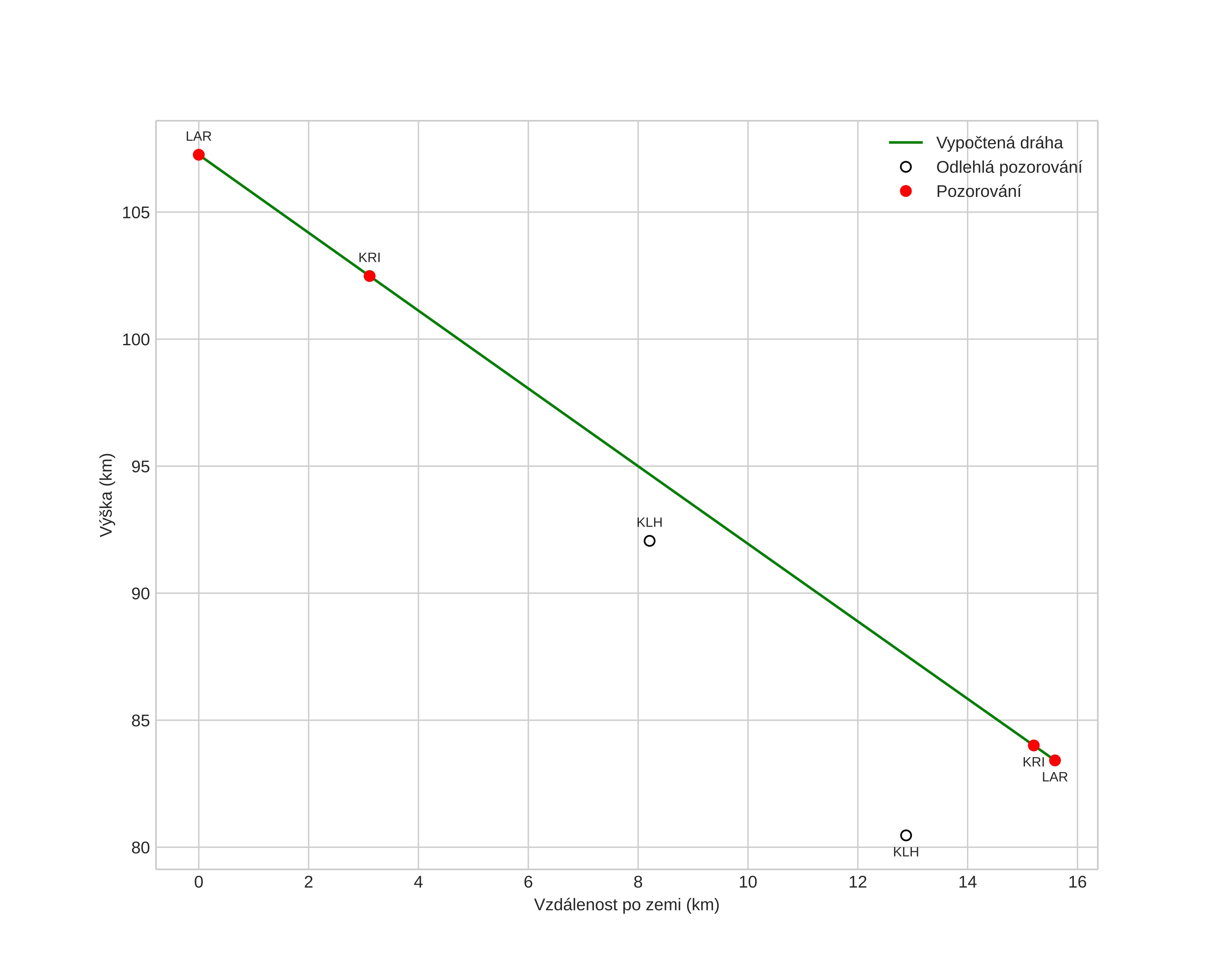
height profile
Atmosférická dráha meteoru:
Počáteční výška: 107,2 km
Konečná výška: 83,5 km
Počáteční poloha: 60,095N 5,892E
Konečná poloha: 60,032N 5,643E
Směr: 243,3°
Sklon: 56,9°
VstupnĂ­ rychlost: 62,8 km/s
Rektascenze radiantu: 03:18 (49,6°)
Deklinace radiantu: 57,9°
MeteorickĂ˝ roj: Perseidy
Elementy dráhy meteoroidu:
Vzdálenost v periheliu: 0,955 AU
Excentricita: 1,137
Sklon dráhy: 115,3°
Délka vzestupného uzlu: 140,9°
Argument perihelia: 153,1°
Střední anomálie: 1,0°
Epocha: 2022 AUG 14 00:57:56
orbit plot

NeinteraktivnĂ­ graf | InteraktivnĂ­ graf

position vs time
speed and acceleration