🇳🇴 🇬🇧 🇩🇪 🇨🇿 🇫🇮

Meteor, poloha: Rollag 2022-08-14 01:12:19 UTC

Soubor KML  |  InteraktivnĂ­ mapa

Mapa zobrazuje dráhy meteoru. Světlejší čáry ukazují směry od pozorovacích stanic při objevení se meteoru a tmavší čáry, kde byl naposledy viděn. Modrá šipka značí viditelnou dráhu meteoru.

static map
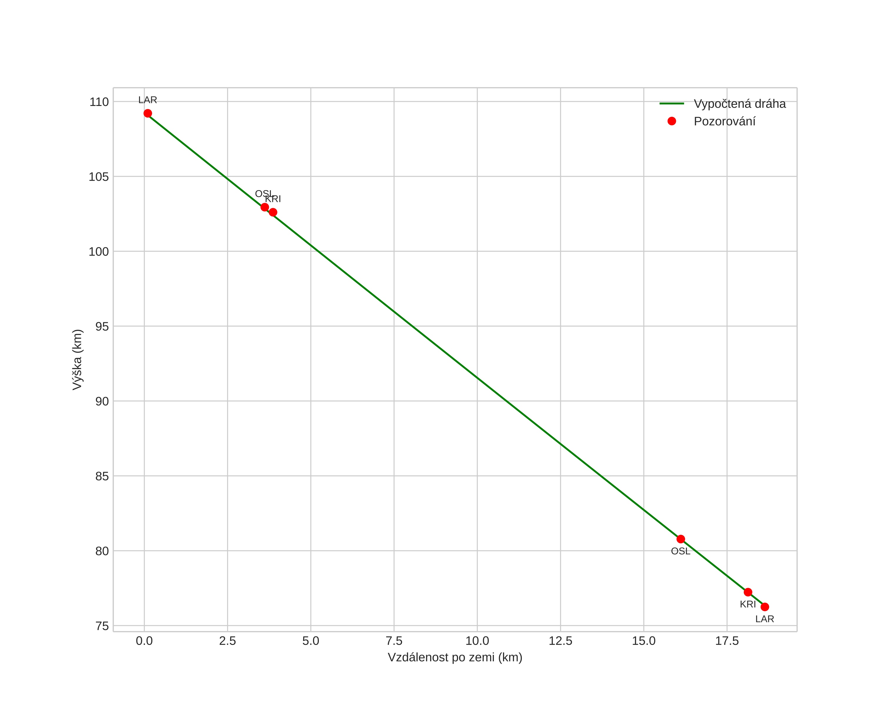
height profile
Atmosférická dráha meteoru:
Počáteční výška: 111,7 km
Konečná výška: 76,3 km
Počáteční poloha: 60,163N 9,666E
Konečná poloha: 60,085N 9,336E
Směr: 244,8°
Sklon: 60,3°
VstupnĂ­ rychlost: 62,3 km/s
Rektascenze radiantu: 03:22 (50,6°)
Deklinace radiantu: 59,0°
MeteorickĂ˝ roj: Perseidy
Elementy dráhy meteoroidu:
Vzdálenost v periheliu: 0,948 AU
Excentricita: 1,148
Sklon dráhy: 113,6°
Délka vzestupného uzlu: 141,0°
Argument perihelia: 151,6°
Střední anomálie: 1,2°
Epocha: 2022 AUG 14 01:12:19
orbit plot

NeinteraktivnĂ­ graf | InteraktivnĂ­ graf

position vs time
speed and acceleration