🇳🇴 🇬🇧 🇩🇪 🇨🇿 🇫🇮

Meteor, poloha: Förslöv 2022-08-14 22:00:53 UTC

Soubor KML  |  InteraktivnĂ­ mapa

Mapa zobrazuje dráhy meteoru. Světlejší čáry ukazují směry od pozorovacích stanic při objevení se meteoru a tmavší čáry, kde byl naposledy viděn. Modrá šipka značí viditelnou dráhu meteoru.

static map
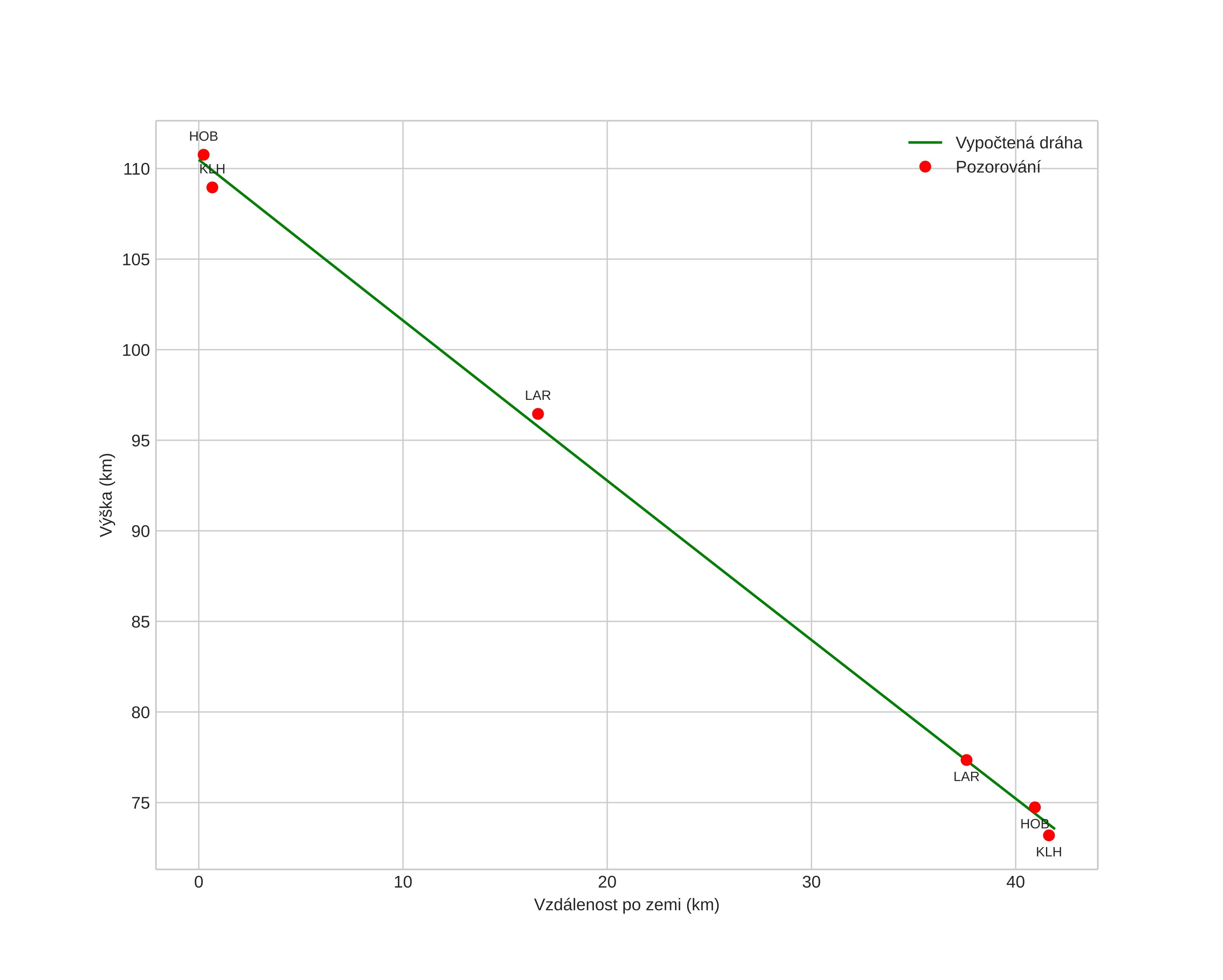
height profile
Atmosférická dráha meteoru:
Počáteční výška: 110,2 km
Konečná výška: 72,7 km
Počáteční poloha: 56,612N 13,410E
Konečná poloha: 56,379N 12,854E
Směr: 233,0°
Sklon: 41,2°
VstupnĂ­ rychlost: 58,1 km/s
Rektascenze radiantu: 02:33 (38,4°)
Deklinace radiantu: 52,8°
MeteorickĂ˝ roj: Perseidy
Elementy dráhy meteoroidu:
Vzdálenost v periheliu: 1,010 AU
Excentricita: 0,574
Sklon dráhy: 117,0°
Délka vzestupného uzlu: 141,8°
Argument perihelia: 172,3°
Střední anomálie: 1,7°
Epocha: 2022 AUG 14 22:00:53
orbit plot

NeinteraktivnĂ­ graf | InteraktivnĂ­ graf

position vs time
speed and acceleration