🇳🇴 🇬🇧 🇩🇪 🇨🇿 🇫🇮

Meteor, poloha: Vestbygd 2022-08-21 23:04:06 UTC

Soubor KML  |  InteraktivnĂ­ mapa

Mapa zobrazuje dráhy meteoru. Světlejší čáry ukazují směry od pozorovacích stanic při objevení se meteoru a tmavší čáry, kde byl naposledy viděn. Modrá šipka značí viditelnou dráhu meteoru.

static map
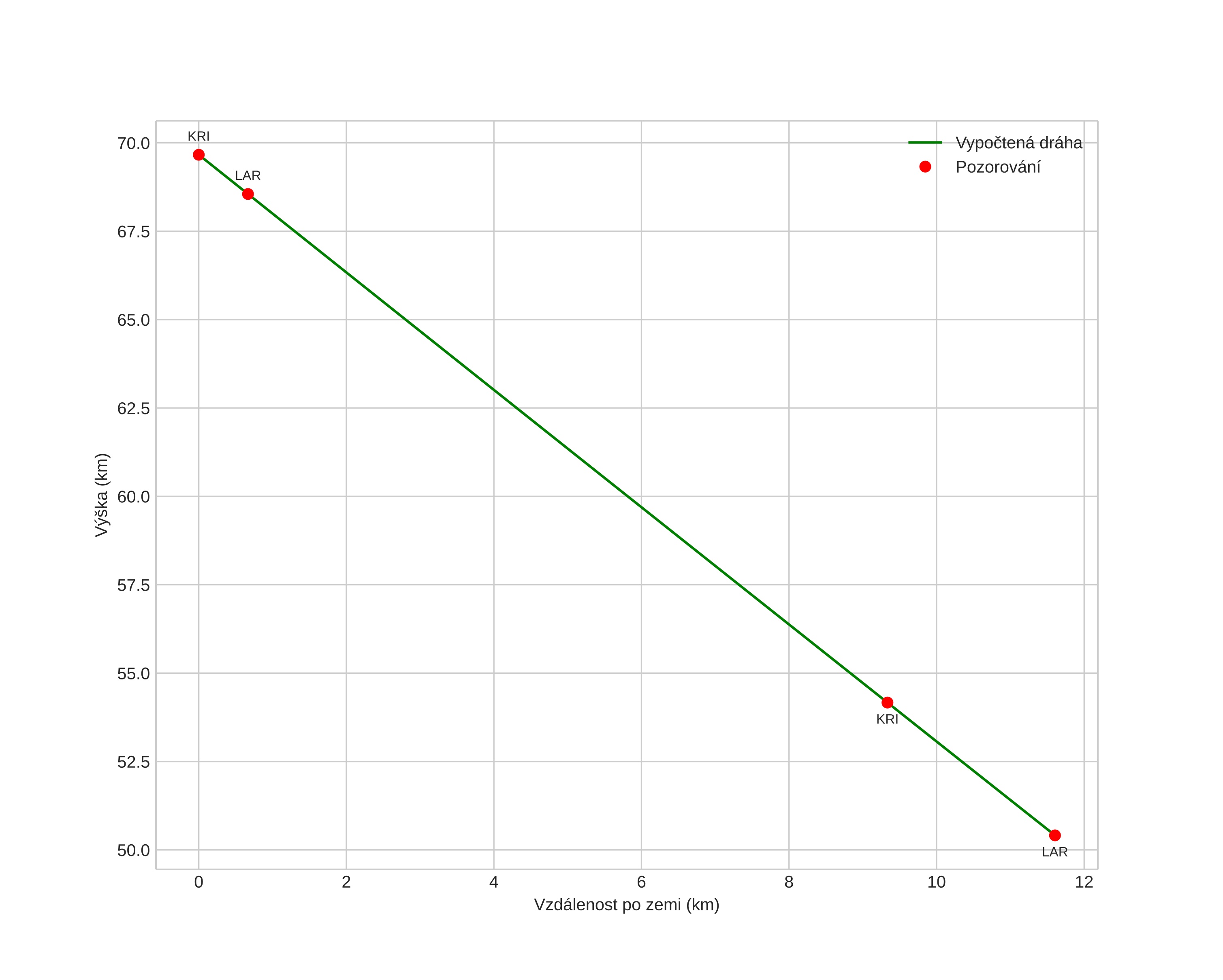
height profile
Atmosférická dráha meteoru:
Počáteční výška: 69,8 km
Konečná výška: 51,0 km
Počáteční poloha: 56,329N 5,307E
Konečná poloha: 56,236N 5,373E
Směr: 158,6°
Sklon: 59,5°
VstupnĂ­ rychlost: 18,0 km/s
Rektascenze radiantu: 15:51 (237,9°)
Deklinace radiantu: 77,2°
MeteorickĂ˝ roj: sporadickĂ˝
Elementy dráhy meteoroidu:
Vzdálenost v periheliu: 0,976 AU
Excentricita: 0,132
Sklon dráhy: 26,5°
Délka vzestupného uzlu: 148,6°
Argument perihelia: 134,0°
Střední anomálie: 35,8°
Epocha: 2022 AUG 21 23:04:06
orbit plot

NeinteraktivnĂ­ graf | InteraktivnĂ­ graf

position vs time
speed and acceleration