🇳🇴 🇬🇧 🇩🇪 🇨🇿 🇫🇮

Meteor, poloha: Gistrup 2022-08-22 20:44:02 UTC

Soubor KML  |  InteraktivnĂ­ mapa

Mapa zobrazuje dráhy meteoru. Světlejší čáry ukazují směry od pozorovacích stanic při objevení se meteoru a tmavší čáry, kde byl naposledy viděn. Modrá šipka značí viditelnou dráhu meteoru.

static map
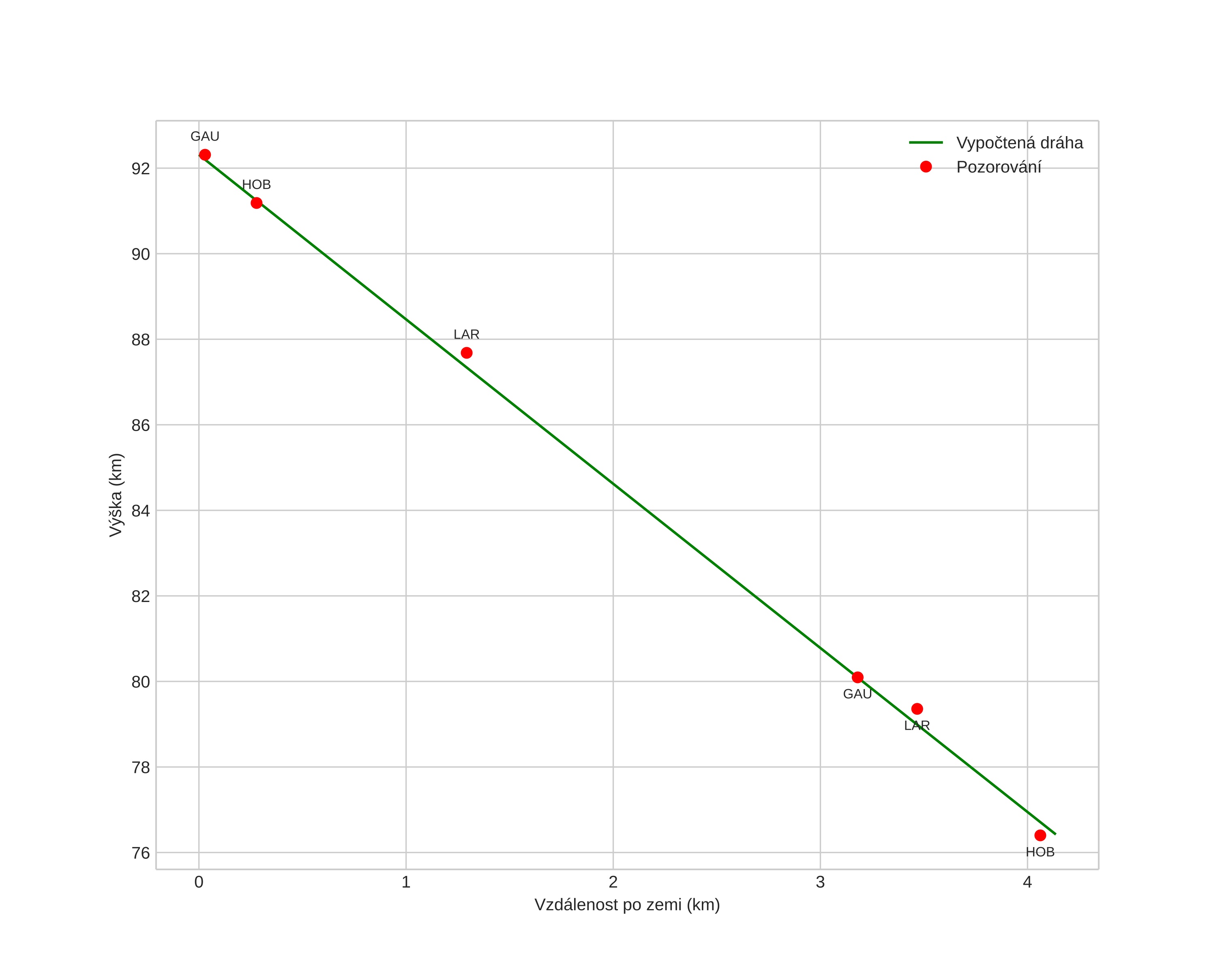
height profile
Atmosférická dráha meteoru:
Počáteční výška: 92,8 km
Konečná výška: 76,4 km
Počáteční poloha: 56,976N 9,997E
Konečná poloha: 57,012N 9,982E
Směr: 347,5°
Sklon: 75,9°
VstupnĂ­ rychlost: 25,8 km/s
Rektascenze radiantu: 19:41 (295,4°)
Deklinace radiantu: 42,3°
MeteorickĂ˝ roj: sporadickĂ˝
Elementy dráhy meteoroidu:
Vzdálenost v periheliu: 0,931 AU
Excentricita: 0,840
Sklon dráhy: 32,2°
Délka vzestupného uzlu: 149,4°
Argument perihelia: 214,3°
Střední anomálie: 358,3°
Epocha: 2022 AUG 22 20:44:02
orbit plot

NeinteraktivnĂ­ graf | InteraktivnĂ­ graf

position vs time
speed and acceleration