🇳🇴 🇬🇧 🇩🇪 🇨🇿 🇫🇮

Meteor, poloha: Setermoen 2022-08-24 22:07:51 UTC

Soubor KML  |  InteraktivnĂ­ mapa

Mapa zobrazuje dráhy meteoru. Světlejší čáry ukazují směry od pozorovacích stanic při objevení se meteoru a tmavší čáry, kde byl naposledy viděn. Modrá šipka značí viditelnou dráhu meteoru.

static map
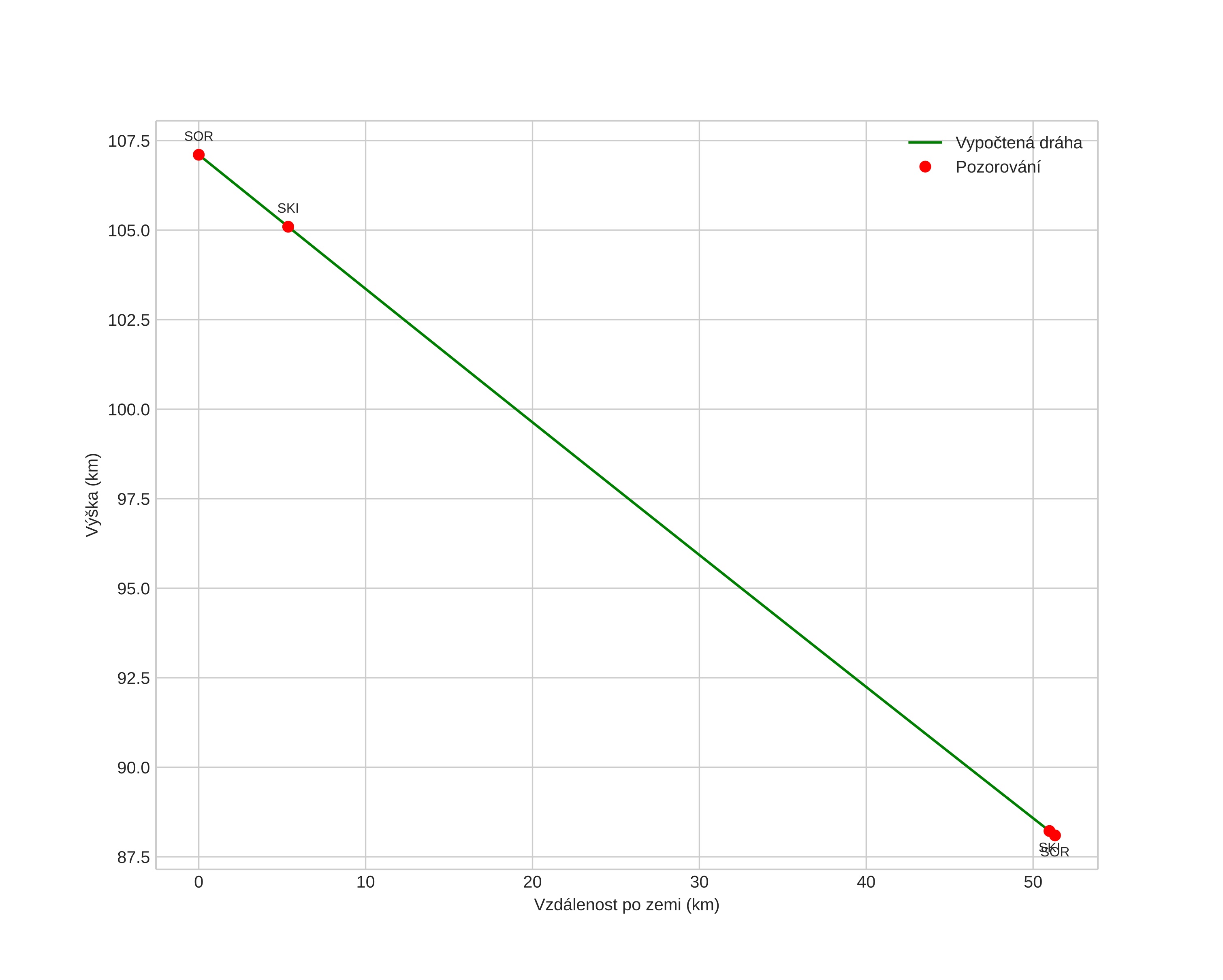
height profile
Atmosférická dráha meteoru:
Počáteční výška: 107,1 km
Konečná výška: 88,1 km
Počáteční poloha: 69,068N 19,377E
Konečná poloha: 68,659N 18,784E
Směr: 207,9°
Sklon: 20,3°
VstupnĂ­ rychlost: 58,1 km/s
Rektascenze radiantu: 07:21 (110,4°)
Deklinace radiantu: 37,7°
MeteorickĂ˝ roj: sporadickĂ˝
Elementy dráhy meteoroidu:
Vzdálenost v periheliu: 0,181 AU
Excentricita: 1,011
Sklon dráhy: 121,3°
Délka vzestupného uzlu: 151,4°
Argument perihelia: 50,8°
Střední anomálie: 0,5°
Epocha: 2022 AUG 24 22:07:51
orbit plot

NeinteraktivnĂ­ graf | InteraktivnĂ­ graf

position vs time
speed and acceleration