🇳🇴 🇬🇧 🇩🇪 🇨🇿 🇫🇮

Meteor, poloha: Grebbestad 2022-08-24 22:42:58 UTC

Soubor KML  |  InteraktivnĂ­ mapa

Mapa zobrazuje dráhy meteoru. Světlejší čáry ukazují směry od pozorovacích stanic při objevení se meteoru a tmavší čáry, kde byl naposledy viděn. Modrá šipka značí viditelnou dráhu meteoru.

static map
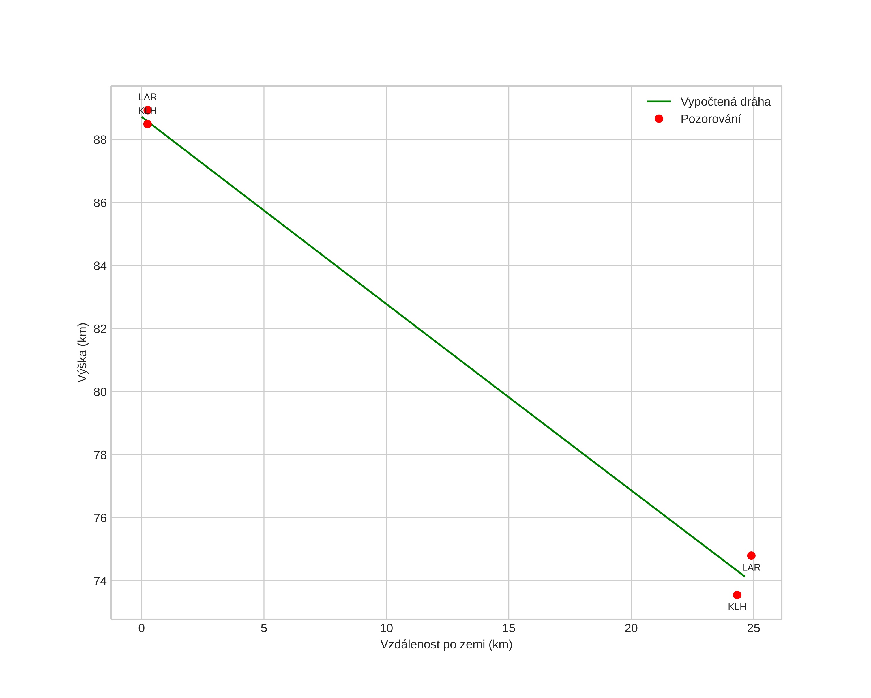
height profile
Atmosférická dráha meteoru:
Počáteční výška: 89,0 km
Konečná výška: 74,1 km
Počáteční poloha: 58,572N 11,313E
Konečná poloha: 58,770N 11,134E
Směr: 334,9°
Sklon: 31,4°
VstupnĂ­ rychlost: 30,4 km/s
Rektascenze radiantu: 23:04 (346,2°)
Deklinace radiantu: -0,0°
MeteorickĂ˝ roj: sporadickĂ˝
Elementy dráhy meteoroidu:
Vzdálenost v periheliu: 0,306 AU
Excentricita: 0,820
Sklon dráhy: 7,0°
Délka vzestupného uzlu: 151,4°
Argument perihelia: 303,3°
Střední anomálie: 340,5°
Epocha: 2022 AUG 24 22:42:58
orbit plot

NeinteraktivnĂ­ graf | InteraktivnĂ­ graf

position vs time
speed and acceleration