🇳🇴 🇬🇧 🇩🇪 🇨🇿 🇫🇮

Meteor, poloha: Grua 2022-08-25 20:46:45 UTC

Soubor KML  |  InteraktivnĂ­ mapa

Mapa zobrazuje dráhy meteoru. Světlejší čáry ukazují směry od pozorovacích stanic při objevení se meteoru a tmavší čáry, kde byl naposledy viděn. Modrá šipka značí viditelnou dráhu meteoru.

static map
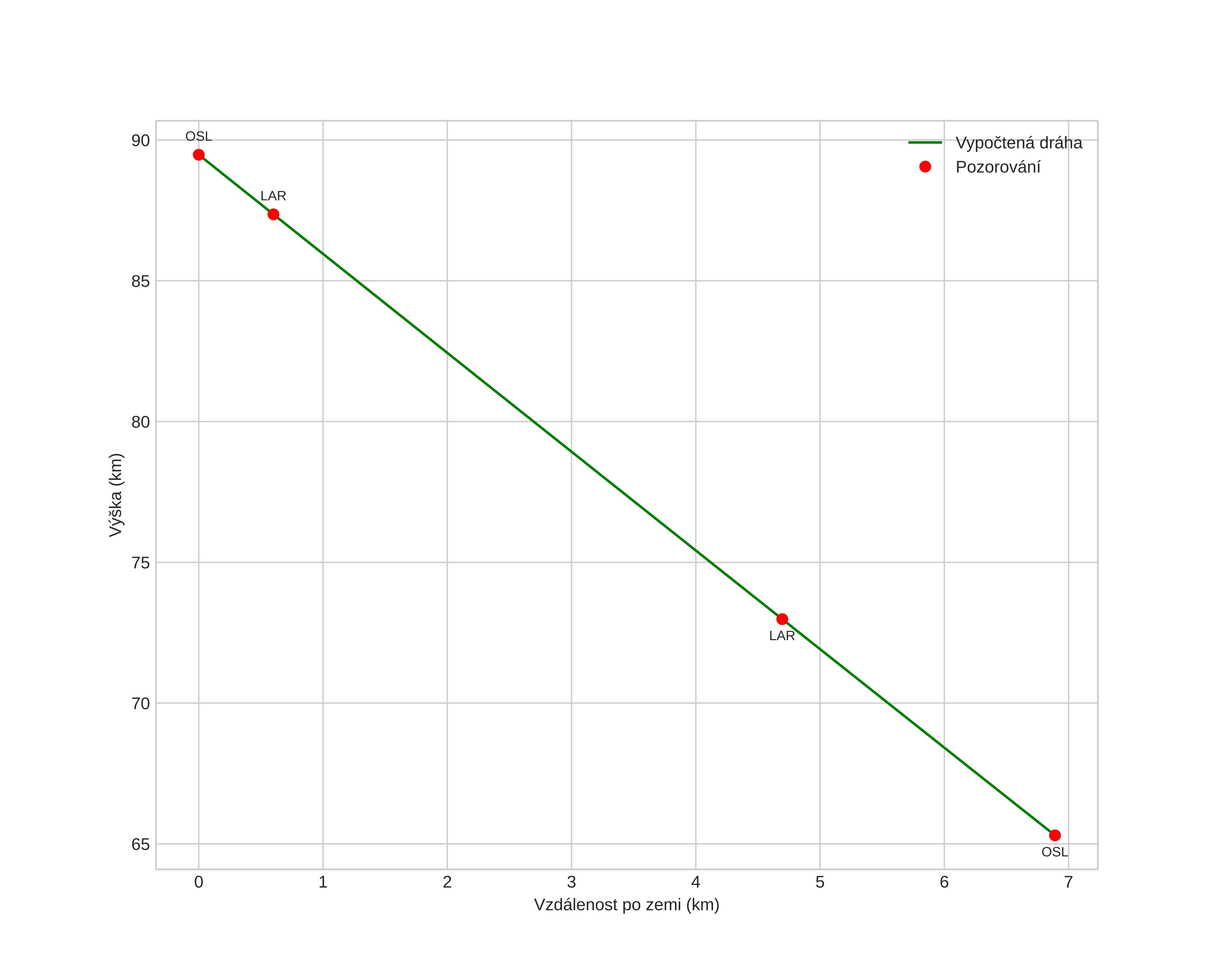
height profile
Atmosférická dráha meteoru:
Počáteční výška: 90,3 km
Konečná výška: 65,3 km
Počáteční poloha: 60,176N 10,581E
Konečná poloha: 60,159N 10,705E
Směr: 105,6°
Sklon: 74,1°
VstupnĂ­ rychlost: 23,4 km/s
Rektascenze radiantu: 17:23 (260,8°)
Deklinace radiantu: 59,9°
MeteorickĂ˝ roj: sporadickĂ˝
Elementy dráhy meteoroidu:
Vzdálenost v periheliu: 1,011 AU
Excentricita: 0,661
Sklon dráhy: 32,4°
Délka vzestupného uzlu: 152,3°
Argument perihelia: 179,9°
Střední anomálie: 0,0°
Epocha: 2022 AUG 25 20:46:45
orbit plot

NeinteraktivnĂ­ graf | InteraktivnĂ­ graf

position vs time
speed and acceleration