🇳🇴 🇬🇧 🇩🇪 🇨🇿 🇫🇮

Meteor, poloha: Løkken 2022-08-27 21:32:25 UTC

Soubor KML  |  InteraktivnĂ­ mapa

Mapa zobrazuje dráhy meteoru. Světlejší čáry ukazují směry od pozorovacích stanic při objevení se meteoru a tmavší čáry, kde byl naposledy viděn. Modrá šipka značí viditelnou dráhu meteoru.

static map
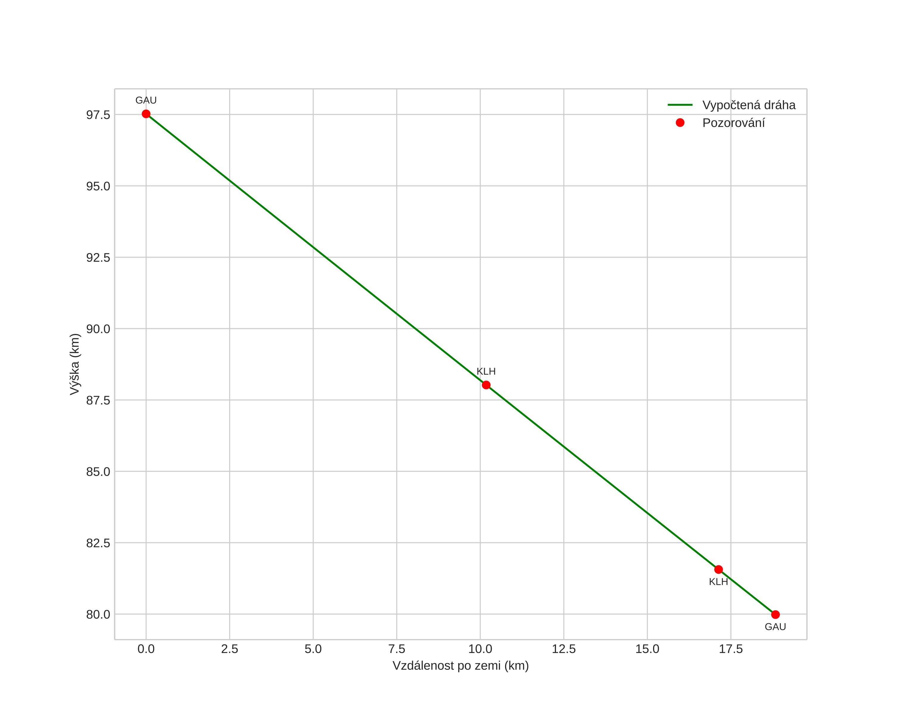
height profile
Atmosférická dráha meteoru:
Počáteční výška: 98,1 km
Konečná výška: 79,6 km
Počáteční poloha: 57,734N 9,322E
Konečná poloha: 57,572N 9,463E
Směr: 155,1°
Sklon: 42,9°
VstupnĂ­ rychlost: 36,0 km/s
Rektascenze radiantu: 12:16 (184,2°)
Deklinace radiantu: 67,3°
MeteorickĂ˝ roj: sporadickĂ˝
Elementy dráhy meteoroidu:
Vzdálenost v periheliu: 0,851 AU
Excentricita: 0,997
Sklon dráhy: 50,0°
Délka vzestupného uzlu: 154,3°
Argument perihelia: 133,2°
Střední anomálie: 0,0°
Epocha: 2022 AUG 27 21:32:25
orbit plot

NeinteraktivnĂ­ graf | InteraktivnĂ­ graf

position vs time
speed and acceleration