🇳🇴 🇬🇧 🇩🇪 🇨🇿 🇫🇮

Meteor, poloha: Arcachon 2022-08-28 01:42:47 UTC

Soubor KML  |  InteraktivnĂ­ mapa

Mapa zobrazuje dráhy meteoru. Světlejší čáry ukazují směry od pozorovacích stanic při objevení se meteoru a tmavší čáry, kde byl naposledy viděn. Modrá šipka značí viditelnou dráhu meteoru.

static map
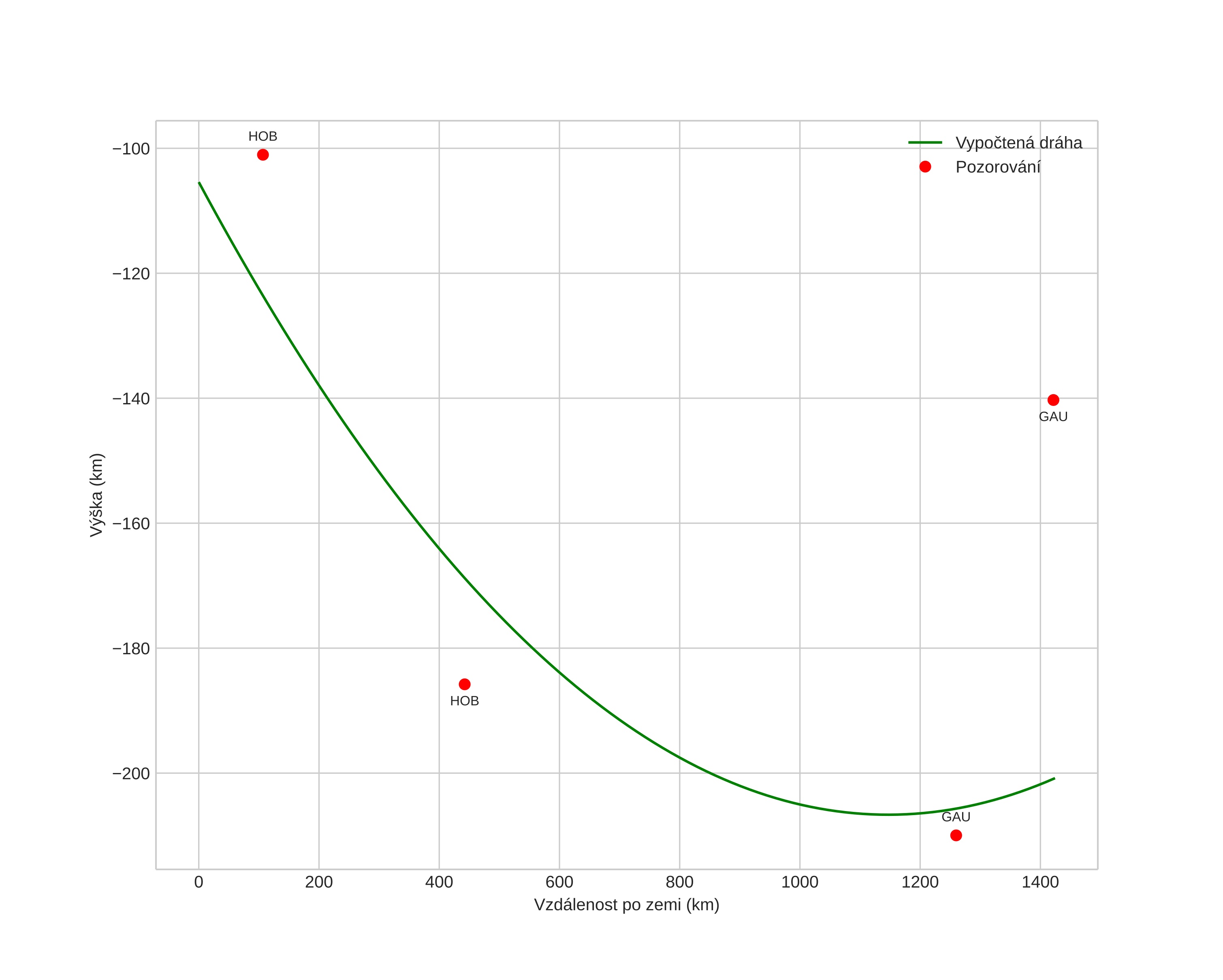
height profile
Atmosférická dráha meteoru:
Počáteční výška: -105,3 km
Konečná výška: -200,9 km
Počáteční poloha: 56,209N 7,236E
Konečná poloha: 44,880N -2,245E
Směr: 211,8°
Sklon: 3,8°
VstupnĂ­ rychlost: 514,4 km/s
Rektascenze radiantu: 10:02 (150,6°)
Deklinace radiantu: 31,9°
MeteorickĂ˝ roj: sporadickĂ˝
Elementy dráhy meteoroidu:
Vzdálenost v periheliu: 0,362 AU
Excentricita: 105,756
Sklon dráhy: 116,3°
Délka vzestupného uzlu: 154,5°
Argument perihelia: 110,6°
Střední anomálie: 15569,1°
Epocha: 2022 AUG 28 01:42:47
orbit plot

NeinteraktivnĂ­ graf | InteraktivnĂ­ graf

position vs time
speed and acceleration