🇳🇴 🇬🇧 🇩🇪 🇨🇿 🇫🇮

Meteor, poloha: Otta 2022-08-28 01:57:34 UTC

Soubor KML  |  InteraktivnĂ­ mapa

Mapa zobrazuje dráhy meteoru. Světlejší čáry ukazují směry od pozorovacích stanic při objevení se meteoru a tmavší čáry, kde byl naposledy viděn. Modrá šipka značí viditelnou dráhu meteoru.

static map
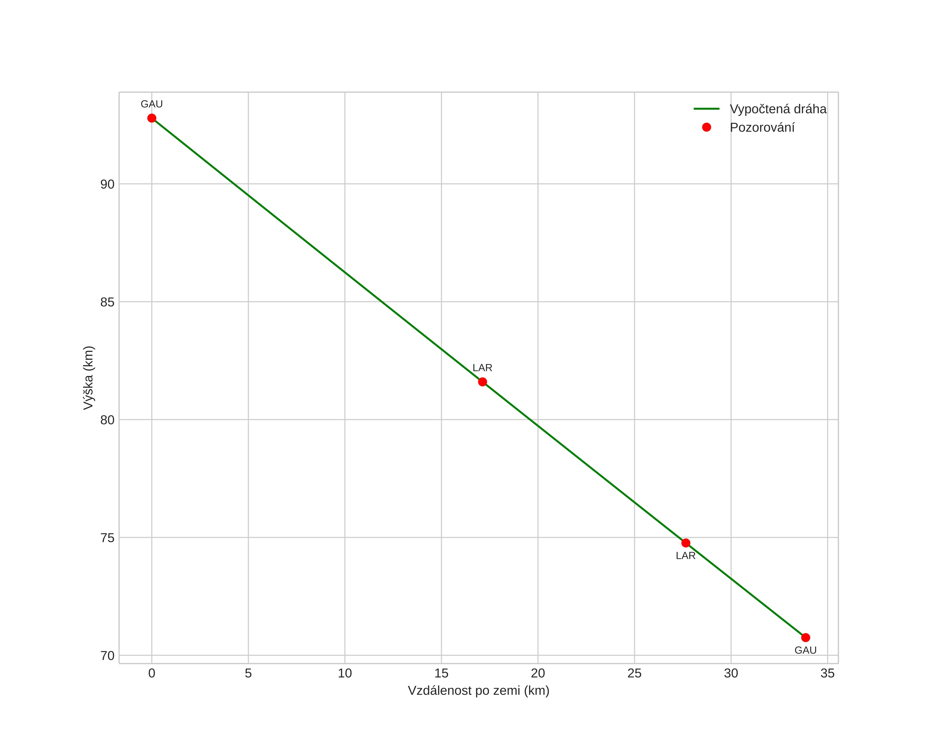
height profile
Atmosférická dráha meteoru:
Počáteční výška: 94,6 km
Konečná výška: 71,3 km
Počáteční poloha: 61,434N 8,874E
Konečná poloha: 61,597N 9,449E
Směr: 59,0°
Sklon: 33,3°
VstupnĂ­ rychlost: 25,5 km/s
Rektascenze radiantu: 21:37 (324,3°)
Deklinace radiantu: 12,9°
MeteorickĂ˝ roj: sporadickĂ˝
Elementy dráhy meteoroidu:
Vzdálenost v periheliu: 0,664 AU
Excentricita: 0,801
Sklon dráhy: 18,0°
Délka vzestupného uzlu: 154,5°
Argument perihelia: 256,8°
Střední anomálie: 353,1°
Epocha: 2022 AUG 28 01:57:34
orbit plot

NeinteraktivnĂ­ graf | InteraktivnĂ­ graf

position vs time
speed and acceleration