🇳🇴 🇬🇧 🇩🇪 🇨🇿 🇫🇮

Meteor, poloha: Fossby 2022-08-28 21:41:03 UTC

Soubor KML  |  InteraktivnĂ­ mapa

Mapa zobrazuje dráhy meteoru. Světlejší čáry ukazují směry od pozorovacích stanic při objevení se meteoru a tmavší čáry, kde byl naposledy viděn. Modrá šipka značí viditelnou dráhu meteoru.

static map
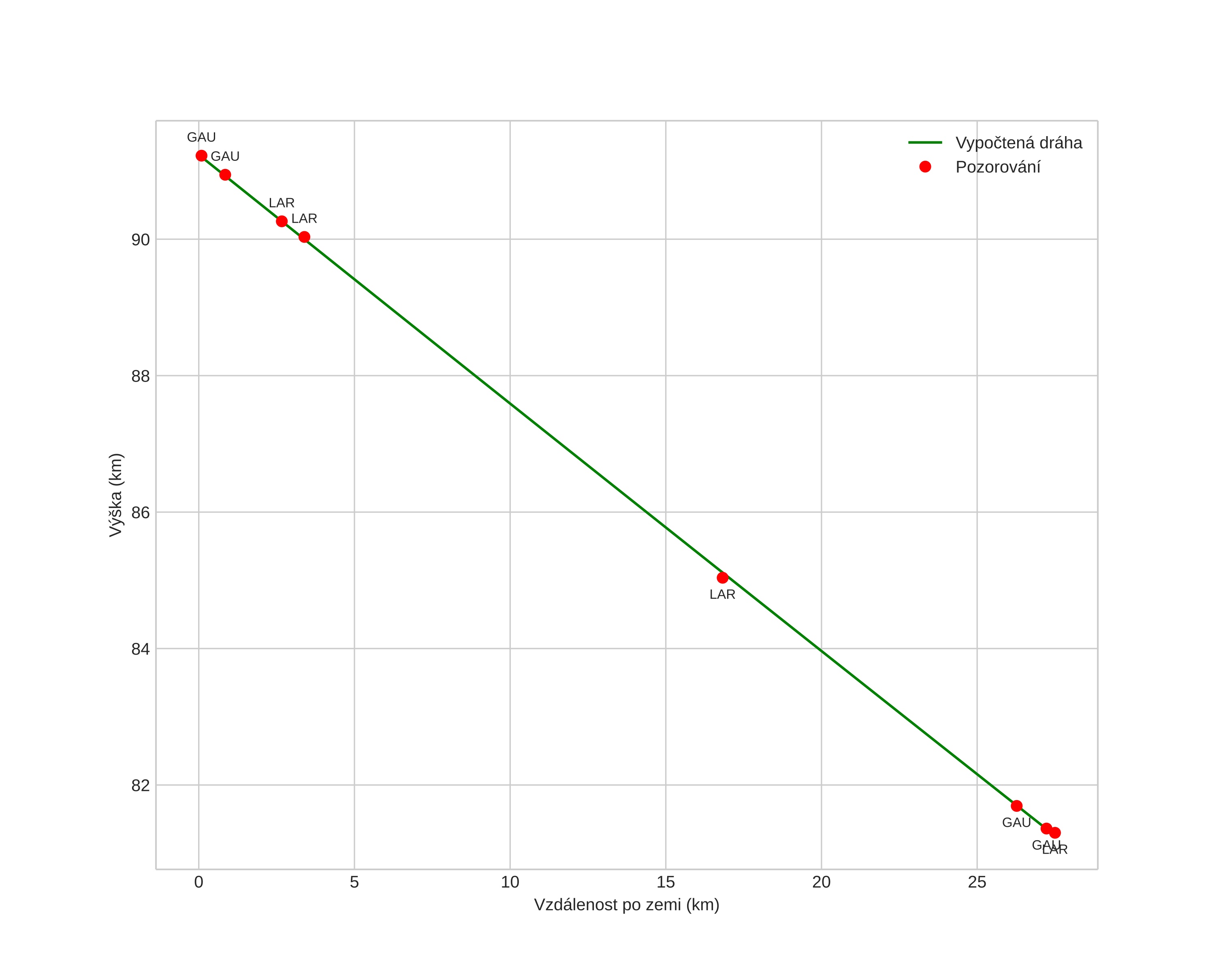
height profile
Atmosférická dráha meteoru:
Počáteční výška: 91,0 km
Konečná výška: 81,1 km
Počáteční poloha: 59,341N 11,204E
Konečná poloha: 59,208N 11,645E
Směr: 120,4°
Sklon: 18,8°
VstupnĂ­ rychlost: 17,0 km/s
Rektascenze radiantu: 13:22 (200,6°)
Deklinace radiantu: 21,6°
MeteorickĂ˝ roj: sporadickĂ˝
Elementy dráhy meteoroidu:
Vzdálenost v periheliu: 0,934 AU
Excentricita: 0,654
Sklon dráhy: 9,7°
Délka vzestupného uzlu: 155,3°
Argument perihelia: 144,1°
Střední anomálie: 6,0°
Epocha: 2022 AUG 28 21:41:03
orbit plot

NeinteraktivnĂ­ graf | InteraktivnĂ­ graf

position vs time
speed and acceleration