🇳🇴 🇬🇧 🇩🇪 🇨🇿 🇫🇮

Meteor, poloha: VĂĄgĂĄmo 2022-08-30 23:56:28 UTC

Soubor KML  |  InteraktivnĂ­ mapa

Mapa zobrazuje dráhy meteoru. Světlejší čáry ukazují směry od pozorovacích stanic při objevení se meteoru a tmavší čáry, kde byl naposledy viděn. Modrá šipka značí viditelnou dráhu meteoru.

static map
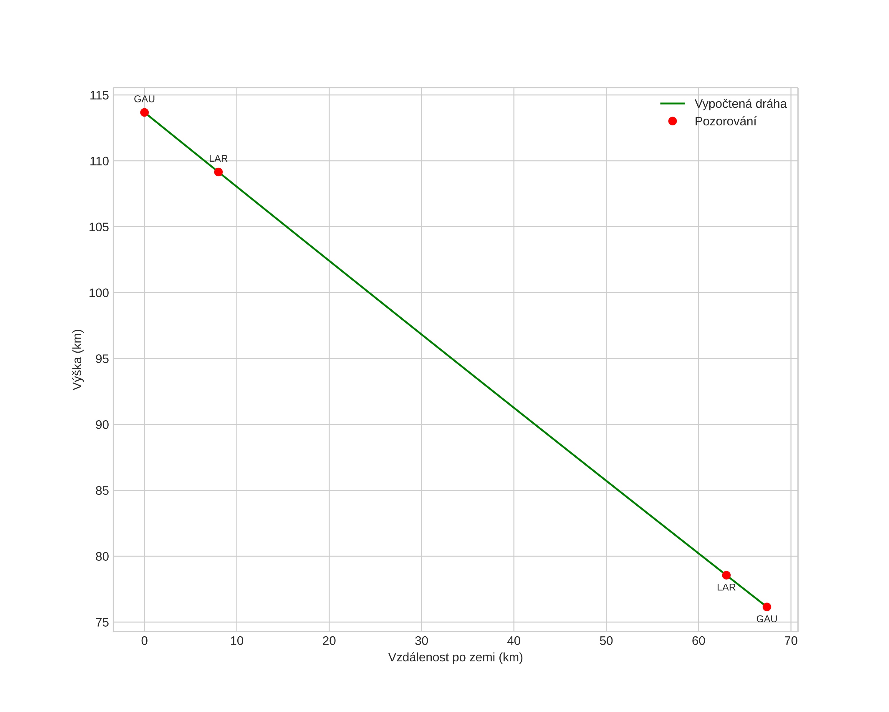
height profile
Atmosférická dráha meteoru:
Počáteční výška: 115,0 km
Konečná výška: 76,3 km
Počáteční poloha: 62,193N 10,125E
Konečná poloha: 61,776N 9,130E
Směr: 228,7°
Sklon: 29,1°
VstupnĂ­ rychlost: 83,6 km/s
Rektascenze radiantu: 06:45 (101,4°)
Deklinace radiantu: 44,2°
MeteorickĂ˝ roj: sporadickĂ˝
Elementy dráhy meteoroidu:
Vzdálenost v periheliu: 0,701 AU
Excentricita: 2,612
Sklon dráhy: 140,6°
Délka vzestupného uzlu: 157,3°
Argument perihelia: 125,3°
Střední anomálie: 76,2°
Epocha: 2022 AUG 30 23:56:28
orbit plot

NeinteraktivnĂ­ graf | InteraktivnĂ­ graf

position vs time
speed and acceleration