🇳🇴 🇬🇧 🇩🇪 🇨🇿 🇫🇮

Meteor, poloha: Älvdalen 2022-08-31 00:31:49 UTC

Soubor KML  |  InteraktivnĂ­ mapa

Mapa zobrazuje dráhy meteoru. Světlejší čáry ukazují směry od pozorovacích stanic při objevení se meteoru a tmavší čáry, kde byl naposledy viděn. Modrá šipka značí viditelnou dráhu meteoru.

static map
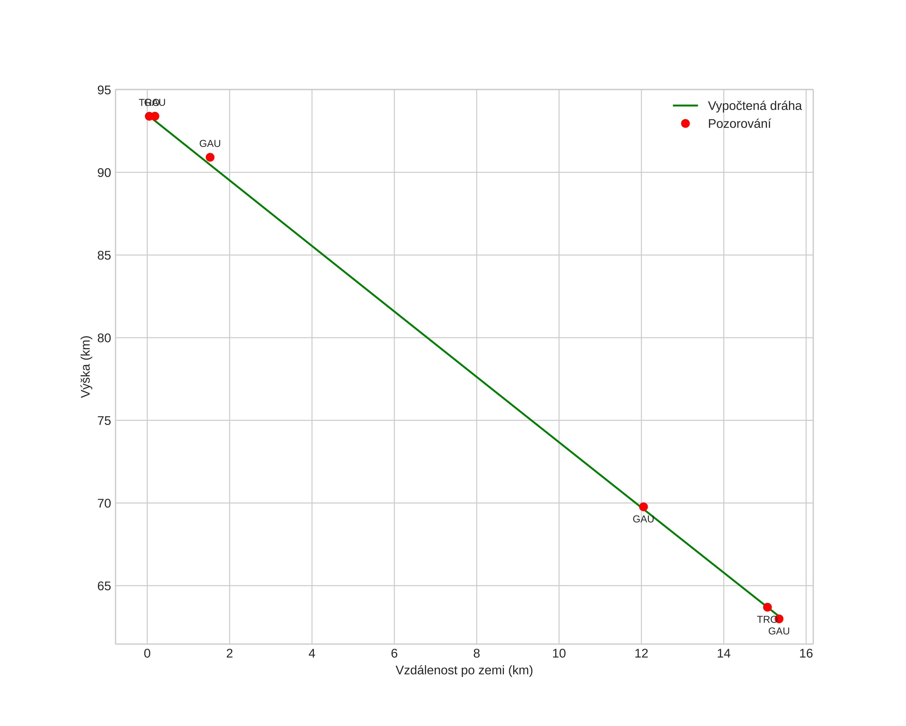
height profile
Atmosférická dráha meteoru:
Počáteční výška: 94,9 km
Konečná výška: 62,0 km
Počáteční poloha: 61,942N 13,142E
Konečná poloha: 61,799N 13,227E
Směr: 164,4°
Sklon: 63,2°
VstupnĂ­ rychlost: 38,3 km/s
Rektascenze radiantu: 18:54 (283,6°)
Deklinace radiantu: 82,3°
MeteorickĂ˝ roj: sporadickĂ˝
Elementy dráhy meteoroidu:
Vzdálenost v periheliu: 1,006 AU
Excentricita: 0,863
Sklon dráhy: 60,7°
Délka vzestupného uzlu: 157,3°
Argument perihelia: 172,6°
Střední anomálie: 0,3°
Epocha: 2022 AUG 31 00:31:49
orbit plot

NeinteraktivnĂ­ graf | InteraktivnĂ­ graf

position vs time
speed and acceleration