🇳🇴 🇬🇧 🇩🇪 🇨🇿 🇫🇮

Meteor, poloha: Kragerø 2022-08-31 01:38:06 UTC

Soubor KML  |  InteraktivnĂ­ mapa

Mapa zobrazuje dráhy meteoru. Světlejší čáry ukazují směry od pozorovacích stanic při objevení se meteoru a tmavší čáry, kde byl naposledy viděn. Modrá šipka značí viditelnou dráhu meteoru.

static map
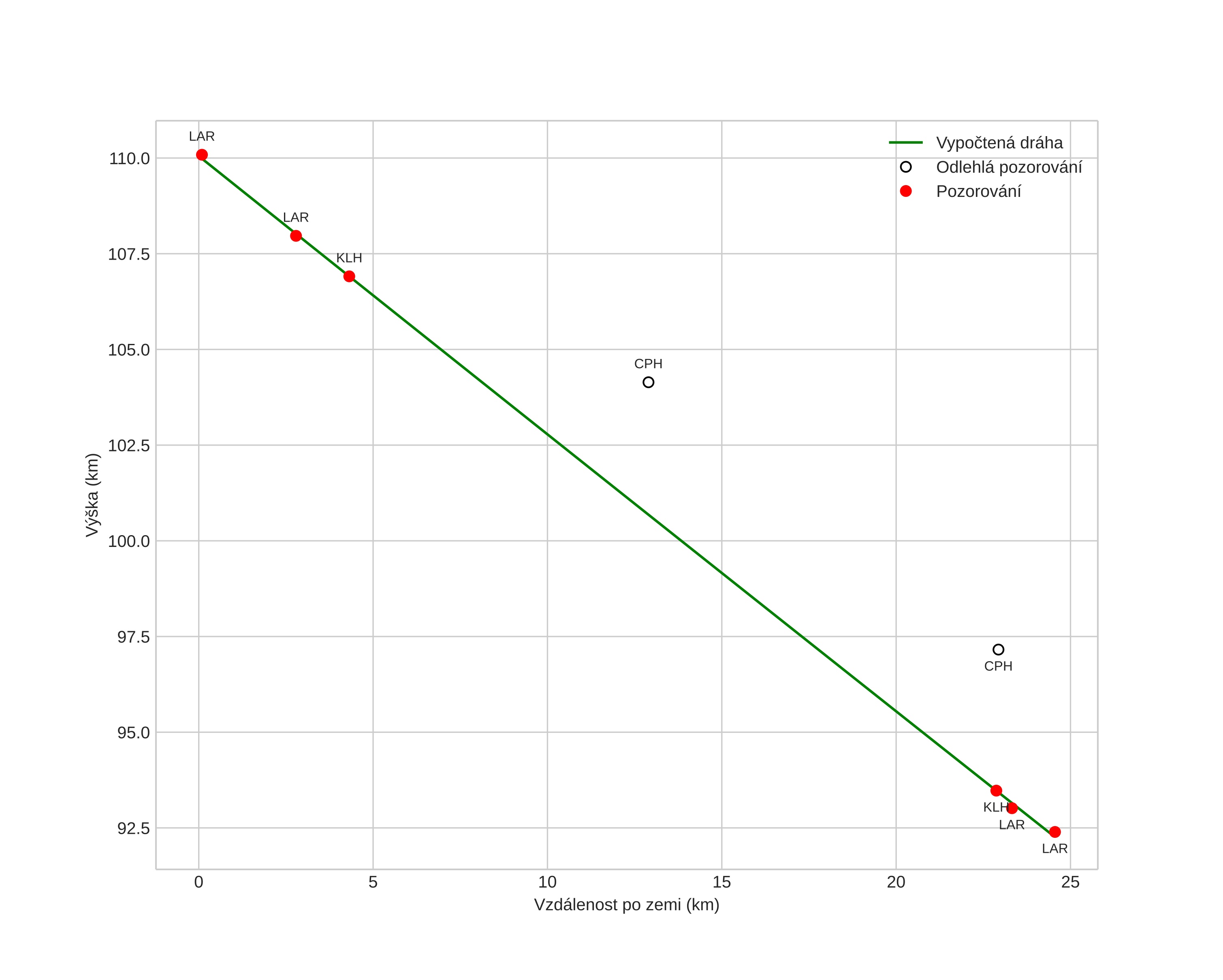
height profile
Atmosférická dráha meteoru:
Počáteční výška: 110,0 km
Konečná výška: 92,3 km
Počáteční poloha: 58,624N 9,980E
Konečná poloha: 58,572N 9,569E
Směr: 256,5°
Sklon: 35,9°
VstupnĂ­ rychlost: 71,2 km/s
Rektascenze radiantu: 06:12 (93,1°)
Deklinace radiantu: 36,5°
MeteorickĂ˝ roj: alpha-aurigidene
Elementy dráhy meteoroidu:
Vzdálenost v periheliu: 0,658 AU
Excentricita: 1,270
Sklon dráhy: 153,7°
Délka vzestupného uzlu: 157,3°
Argument perihelia: 112,2°
Střední anomálie: 8,6°
Epocha: 2022 AUG 31 01:38:06
orbit plot

NeinteraktivnĂ­ graf | InteraktivnĂ­ graf

position vs time
speed and acceleration