🇳🇴 🇬🇧 🇩🇪 🇨🇿 🇫🇮

Meteor Hovdenin yllä 2022-09-01 02:12:38 UTC

KML-tiedosto  |  Interaktiivinen kartta

Kartta näyttää meteorin suuntahavainnot. Vaaleammat viivat näyttävät suunnat havaintoasemilta meteorin ilmestyessä, ja tummemmat viivat näyttävät, missä se viimeksi nähtiin. Sininen nuoli näyttää meteorin näkyvän lennon.

static map
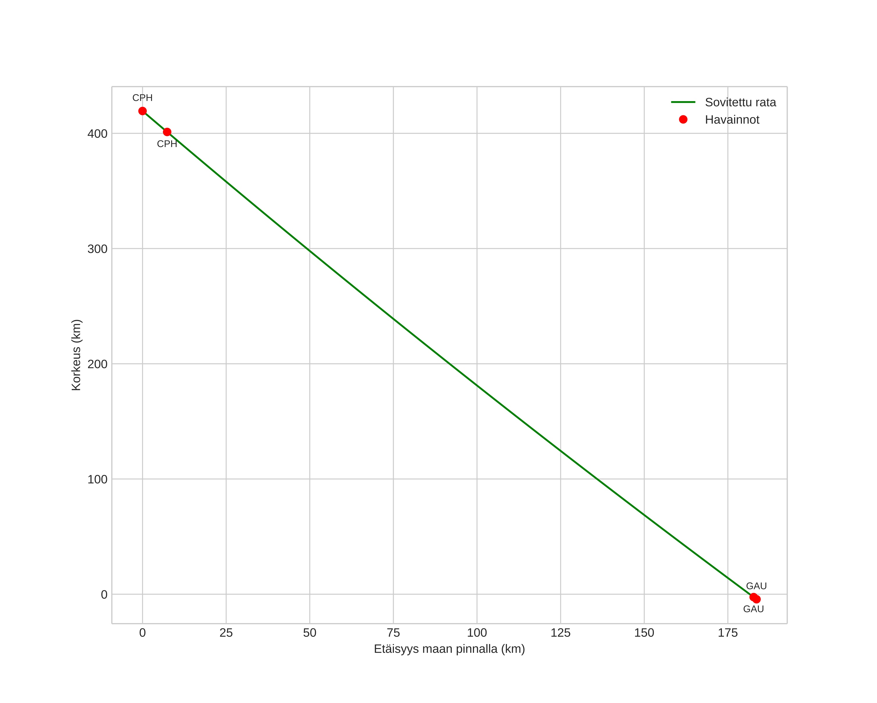
height profile
Meteorin ilmakehärata:
Alkukorkeus: 450,4 km
Loppukorkeus: -4,7 km
Alkupiste: 58,857N 9,932E
Loppupiste: 59,356N 7,240E
Suunta: 291,0°
Kallistuskulma: 70,3°
position vs time
speed and acceleration