🇳🇴 🇬🇧 🇩🇪 🇨🇿 🇫🇮

Meteor, poloha: Hanstholm 2022-09-01 20:22:25 UTC

Soubor KML  |  InteraktivnĂ­ mapa

Mapa zobrazuje dráhy meteoru. Světlejší čáry ukazují směry od pozorovacích stanic při objevení se meteoru a tmavší čáry, kde byl naposledy viděn. Modrá šipka značí viditelnou dráhu meteoru.

static map
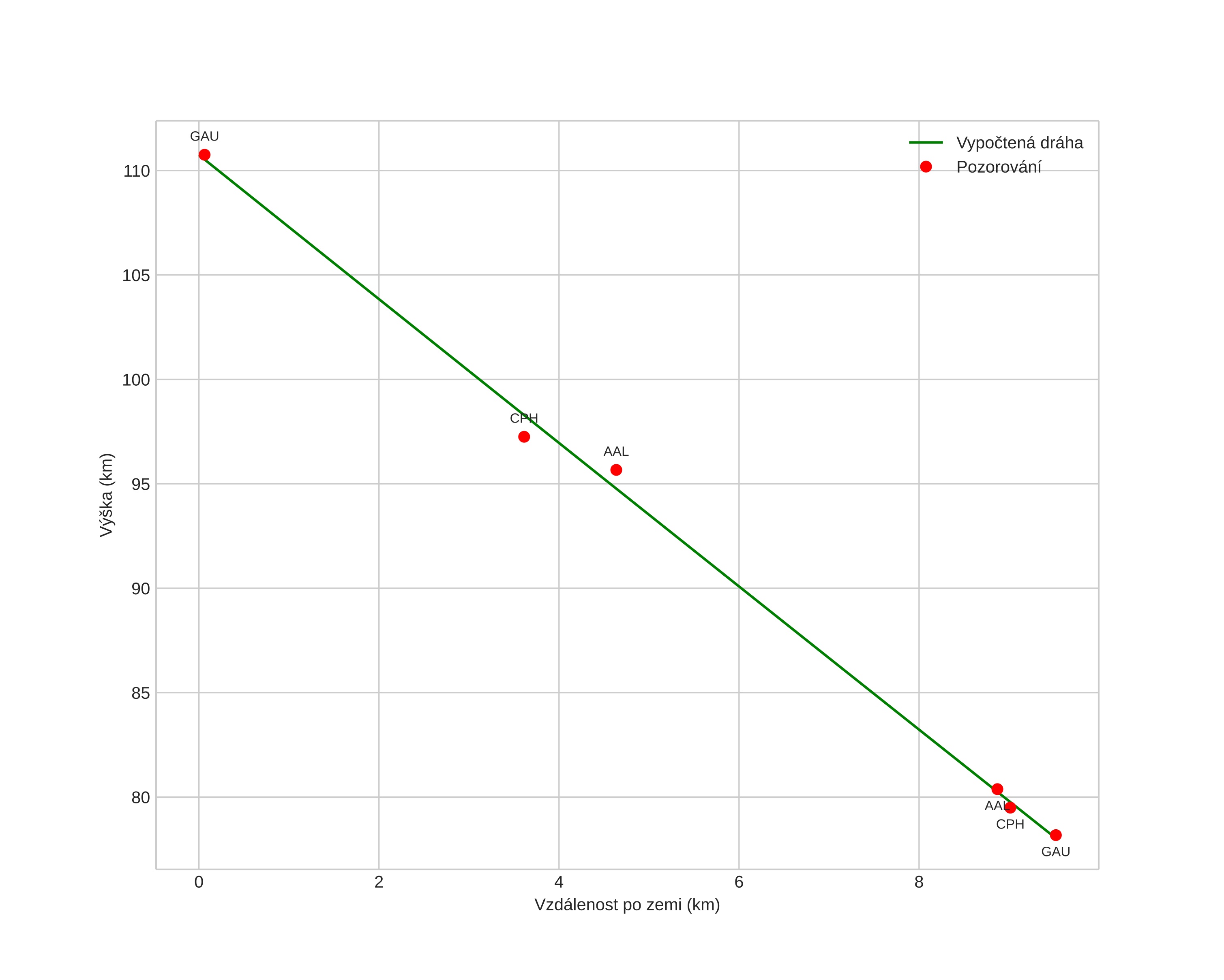
height profile
Atmosférická dráha meteoru:
Počáteční výška: 110,7 km
Konečná výška: 78,6 km
Počáteční poloha: 57,418N 8,717E
Konečná poloha: 57,353N 8,615E
Směr: 220,4°
Sklon: 73,6°
VstupnĂ­ rychlost: 42,7 km/s
Rektascenze radiantu: 21:33 (323,5°)
Deklinace radiantu: 67,6°
MeteorickĂ˝ roj: sporadickĂ˝
Elementy dráhy meteoroidu:
Vzdálenost v periheliu: 0,963 AU
Excentricita: 1,207
Sklon dráhy: 64,0°
Délka vzestupného uzlu: 159,1°
Argument perihelia: 203,6°
Střední anomálie: -1,5°
Epocha: 2022 SEP 01 20:22:25
orbit plot

NeinteraktivnĂ­ graf | InteraktivnĂ­ graf

position vs time
speed and acceleration