🇳🇴 🇬🇧 🇩🇪 🇨🇿 🇫🇮

Meteor, poloha: Skagen 2022-09-05 00:14:21 UTC

Soubor KML  |  InteraktivnĂ­ mapa

Mapa zobrazuje dráhy meteoru. Světlejší čáry ukazují směry od pozorovacích stanic při objevení se meteoru a tmavší čáry, kde byl naposledy viděn. Modrá šipka značí viditelnou dráhu meteoru.

static map
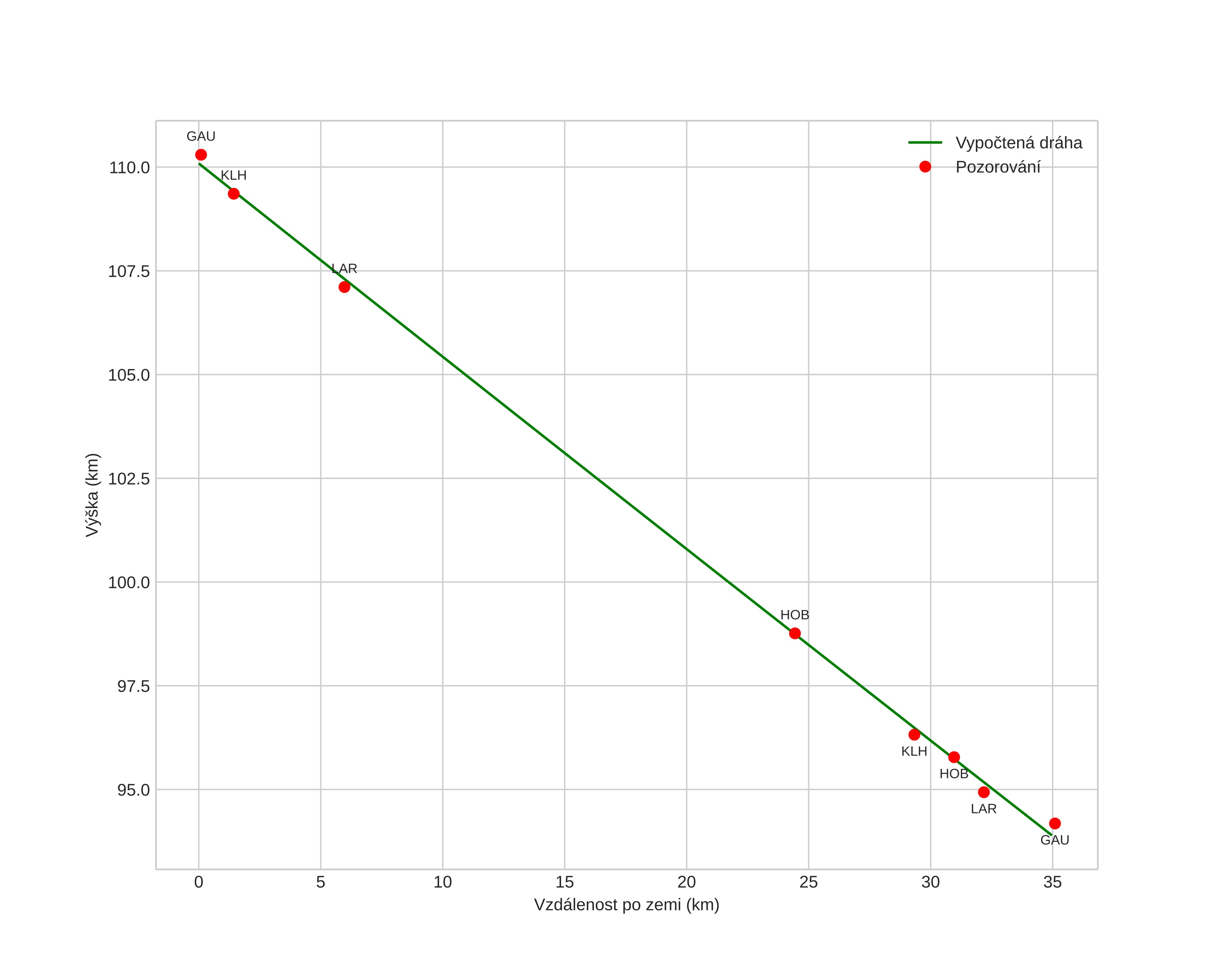
height profile
Atmosférická dráha meteoru:
Počáteční výška: 109,7 km
Konečná výška: 94,7 km
Počáteční poloha: 57,605N 11,337E
Konečná poloha: 57,776N 10,894E
Směr: 306,0°
Sklon: 24,8°
VstupnĂ­ rychlost: 70,1 km/s
Rektascenze radiantu: 03:04 (46,1°)
Deklinace radiantu: 3,4°
MeteorickĂ˝ roj: sporadickĂ˝
Elementy dráhy meteoroidu:
Vzdálenost v periheliu: 0,588 AU
Excentricita: 1,259
Sklon dráhy: 152,0°
Délka vzestupného uzlu: 342,1°
Argument perihelia: 75,4°
Střední anomálie: -9,8°
Epocha: 2022 SEP 05 00:14:21
orbit plot

NeinteraktivnĂ­ graf | InteraktivnĂ­ graf

position vs time
speed and acceleration