🇳🇴 🇬🇧 🇩🇪 🇨🇿 🇫🇮

Meteor, poloha: Ă…bybro 2022-09-05 23:09:09 UTC

Soubor KML  |  InteraktivnĂ­ mapa

Mapa zobrazuje dráhy meteoru. Světlejší čáry ukazují směry od pozorovacích stanic při objevení se meteoru a tmavší čáry, kde byl naposledy viděn. Modrá šipka značí viditelnou dráhu meteoru.

static map
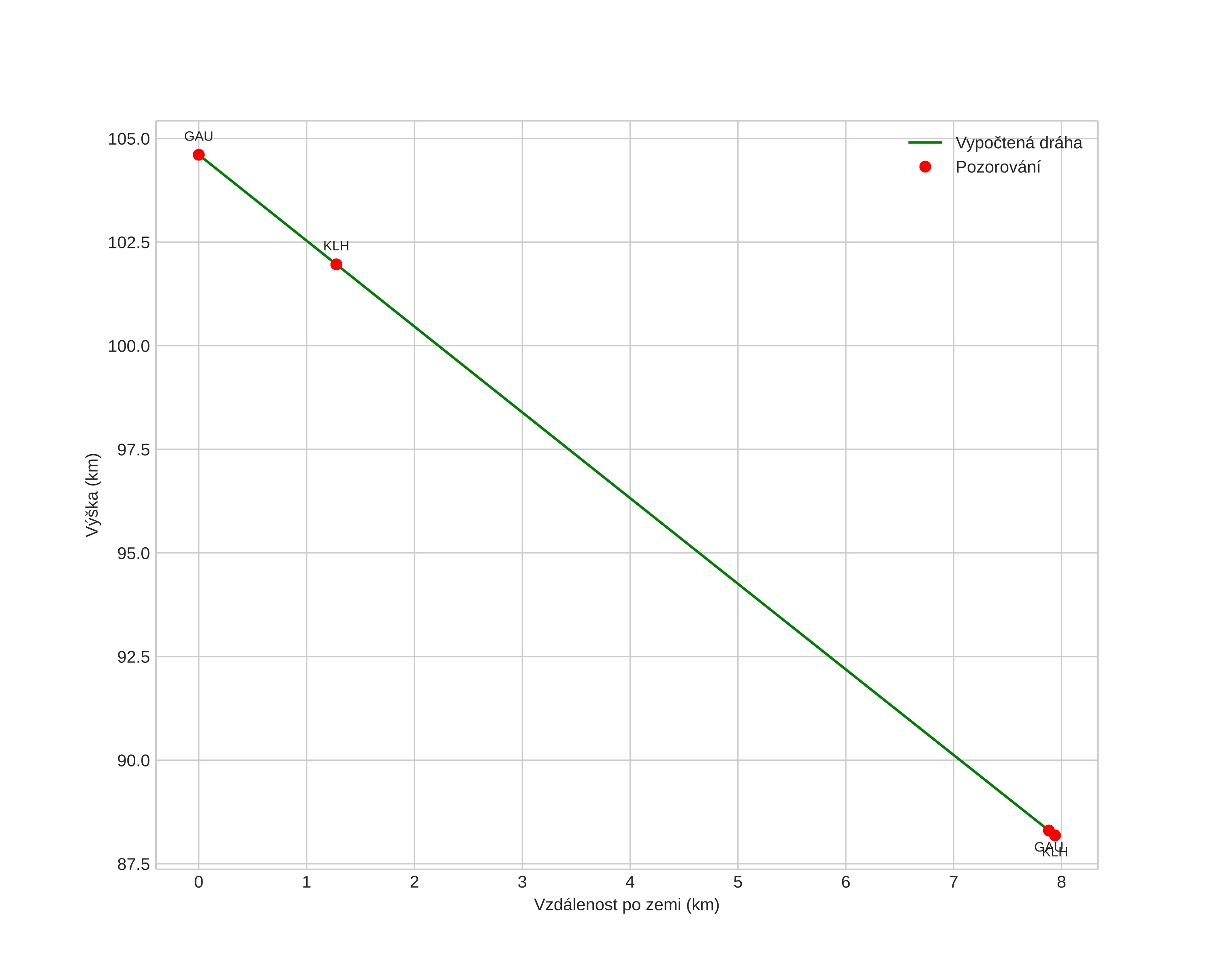
height profile
Atmosférická dráha meteoru:
Počáteční výška: 107,5 km
Konečná výška: 88,2 km
Počáteční poloha: 57,294N 9,732E
Konečná poloha: 57,211N 9,748E
Směr: 174,2°
Sklon: 64,2°
VstupnĂ­ rychlost: 40,6 km/s
Rektascenze radiantu: 21:13 (318,4°)
Deklinace radiantu: 82,7°
MeteorickĂ˝ roj: sporadickĂ˝
Elementy dráhy meteoroidu:
Vzdálenost v periheliu: 1,008 AU
Excentricita: 0,858
Sklon dráhy: 65,7°
Délka vzestupného uzlu: 163,1°
Argument perihelia: 181,2°
Střední anomálie: 360,0°
Epocha: 2022 SEP 05 23:09:09
orbit plot

NeinteraktivnĂ­ graf | InteraktivnĂ­ graf

position vs time
speed and acceleration