🇳🇴 🇬🇧 🇩🇪 🇨🇿 🇫🇮

Meteor, poloha: Ulvik 2022-09-05 23:11:42 UTC

Soubor KML  |  InteraktivnĂ­ mapa

Mapa zobrazuje dráhy meteoru. Světlejší čáry ukazují směry od pozorovacích stanic při objevení se meteoru a tmavší čáry, kde byl naposledy viděn. Modrá šipka značí viditelnou dráhu meteoru.

static map
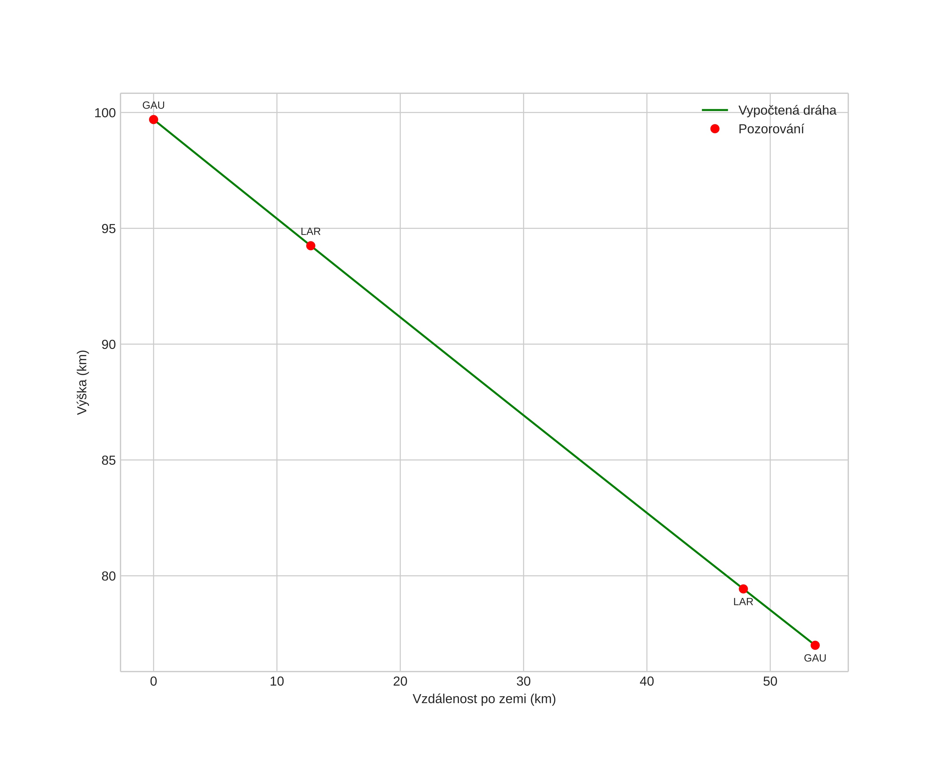
height profile
Atmosférická dráha meteoru:
Počáteční výška: 99,4 km
Konečná výška: 76,6 km
Počáteční poloha: 61,157N 6,670E
Konečná poloha: 60,680N 6,855E
Směr: 169,2°
Sklon: 22,9°
VstupnĂ­ rychlost: 31,0 km/s
Rektascenze radiantu: 11:40 (175,2°)
Deklinace radiantu: 48,5°
MeteorickĂ˝ roj: sporadickĂ˝
Elementy dráhy meteoroidu:
Vzdálenost v periheliu: 0,659 AU
Excentricita: 0,769
Sklon dráhy: 37,1°
Délka vzestupného uzlu: 163,1°
Argument perihelia: 101,8°
Střední anomálie: 8,9°
Epocha: 2022 SEP 05 23:11:42
orbit plot

NeinteraktivnĂ­ graf | InteraktivnĂ­ graf

position vs time
speed and acceleration