🇳🇴 🇬🇧 🇩🇪 🇨🇿 🇫🇮

Meteor, poloha: Peterhead 2022-09-06 22:01:57 UTC

Soubor KML  |  InteraktivnĂ­ mapa

Mapa zobrazuje dráhy meteoru. Světlejší čáry ukazují směry od pozorovacích stanic při objevení se meteoru a tmavší čáry, kde byl naposledy viděn. Modrá šipka značí viditelnou dráhu meteoru.

static map
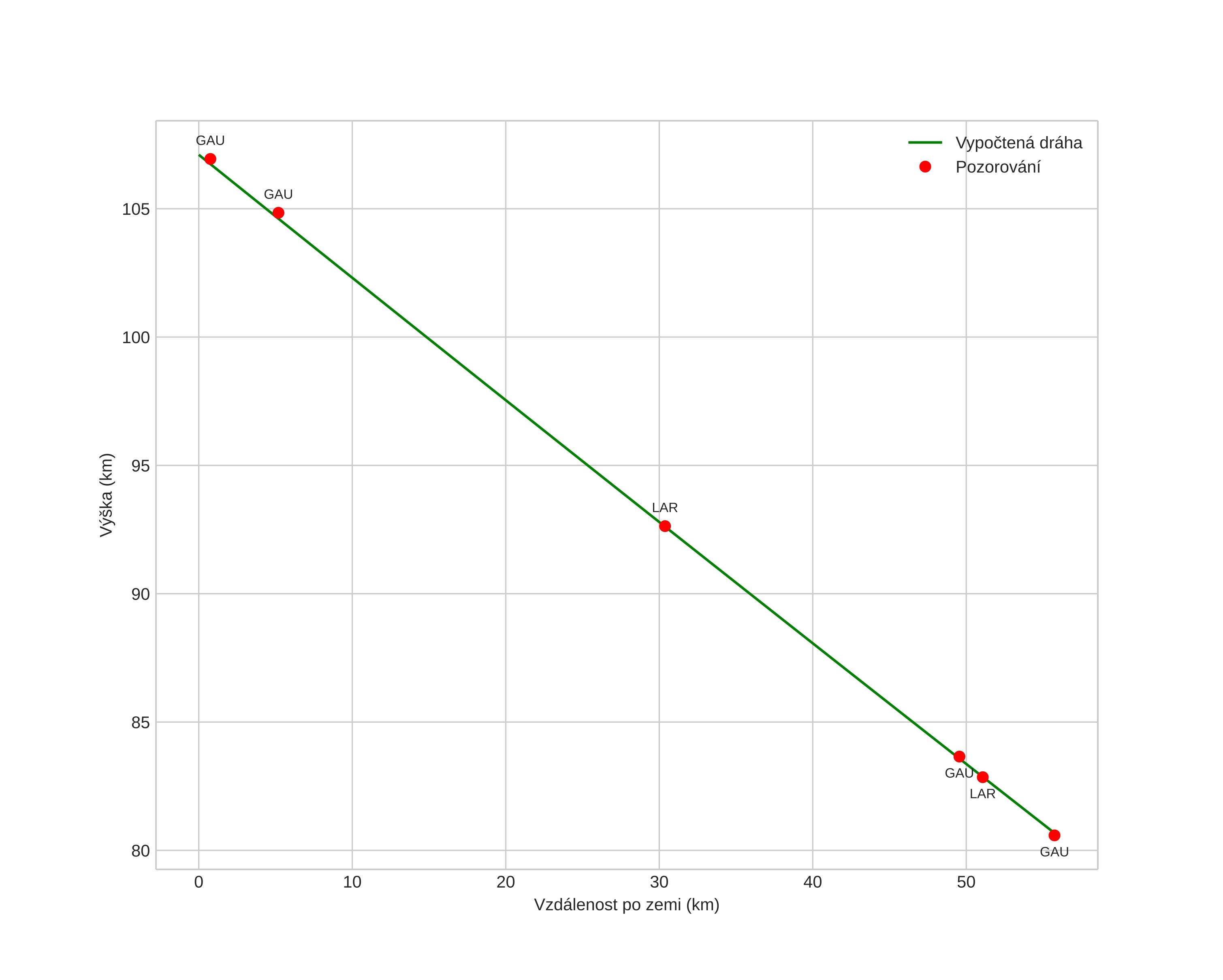
height profile
Atmosférická dráha meteoru:
Počáteční výška: 113,9 km
Konečná výška: 81,4 km
Počáteční poloha: 58,352N 2,043E
Konečná poloha: 58,084N 1,424E
Směr: 230,9°
Sklon: 34,7°
VstupnĂ­ rychlost: 71,3 km/s
Rektascenze radiantu: 04:03 (61,0°)
Deklinace radiantu: 49,0°
MeteorickĂ˝ roj: sporadickĂ˝
Elementy dráhy meteoroidu:
Vzdálenost v periheliu: 0,994 AU
Excentricita: 1,439
Sklon dráhy: 134,9°
Délka vzestupného uzlu: 164,0°
Argument perihelia: 192,5°
Střední anomálie: -2,3°
Epocha: 2022 SEP 06 22:01:57
orbit plot

NeinteraktivnĂ­ graf | InteraktivnĂ­ graf

position vs time
speed and acceleration