🇳🇴 🇬🇧 🇩🇪 🇨🇿 🇫🇮

Meteor, poloha: Kragerø 2022-09-06 22:32:18 UTC

Soubor KML  |  InteraktivnĂ­ mapa

Mapa zobrazuje dráhy meteoru. Světlejší čáry ukazují směry od pozorovacích stanic při objevení se meteoru a tmavší čáry, kde byl naposledy viděn. Modrá šipka značí viditelnou dráhu meteoru.

static map
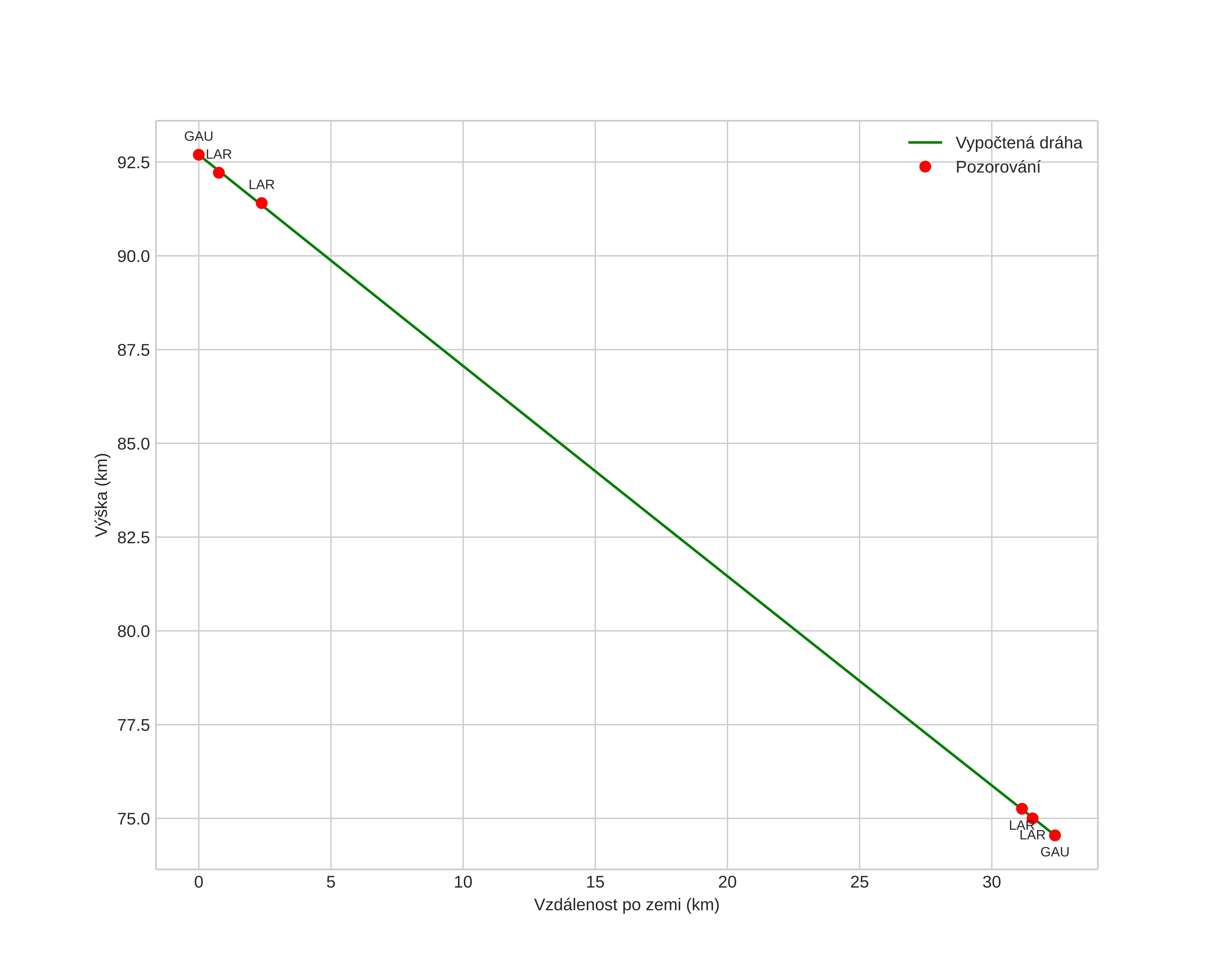
height profile
Atmosférická dráha meteoru:
Počáteční výška: 92,5 km
Konečná výška: 73,8 km
Počáteční poloha: 58,435N 9,446E
Konečná poloha: 58,732N 9,519E
Směr: 7,3°
Sklon: 29,3°
VstupnĂ­ rychlost: 19,0 km/s
Rektascenze radiantu: 21:42 (325,5°)
Deklinace radiantu: -9,1°
MeteorickĂ˝ roj: sporadickĂ˝
Elementy dráhy meteoroidu:
Vzdálenost v periheliu: 0,811 AU
Excentricita: 0,696
Sklon dráhy: 2,0°
Délka vzestupného uzlu: 164,0°
Argument perihelia: 238,4°
Střední anomálie: 351,3°
Epocha: 2022 SEP 06 22:32:18
orbit plot

NeinteraktivnĂ­ graf | InteraktivnĂ­ graf

position vs time
speed and acceleration