🇳🇴 🇬🇧 🇩🇪 🇨🇿 🇫🇮

Meteor, poloha: Hørning 2022-09-07 01:08:05 UTC

Soubor KML  |  InteraktivnĂ­ mapa

Mapa zobrazuje dráhy meteoru. Světlejší čáry ukazují směry od pozorovacích stanic při objevení se meteoru a tmavší čáry, kde byl naposledy viděn. Modrá šipka značí viditelnou dráhu meteoru.

static map
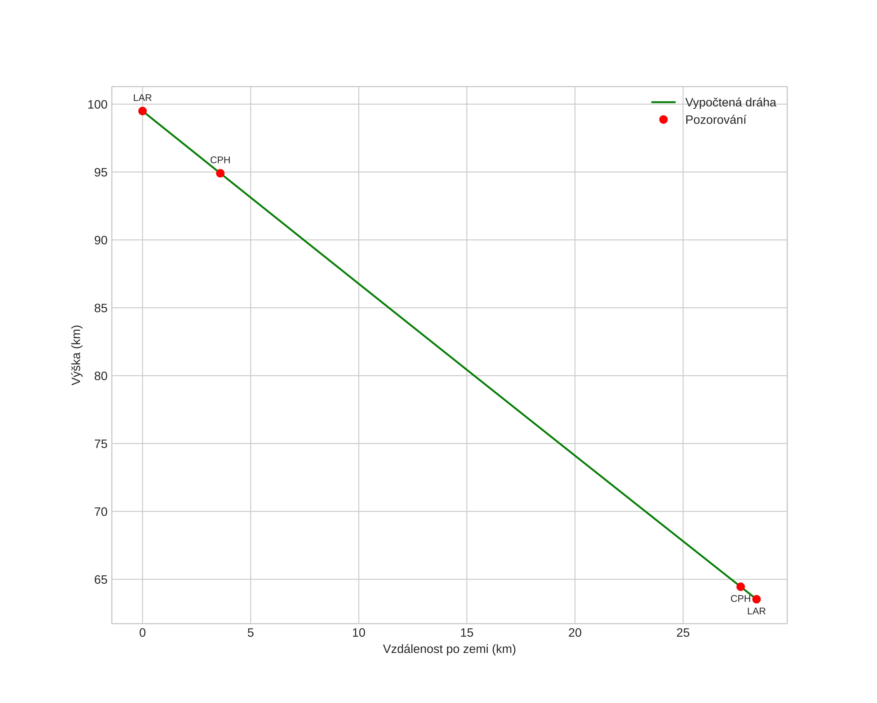
height profile
Atmosférická dráha meteoru:
Počáteční výška: 99,5 km
Konečná výška: 63,5 km
Počáteční poloha: 56,715N 10,146E
Konečná poloha: 56,463N 10,217E
Směr: 171,1°
Sklon: 51,7°
VstupnĂ­ rychlost: 38,1 km/s
Rektascenze radiantu: 16:07 (241,9°)
Deklinace radiantu: 82,0°
MeteorickĂ˝ roj: sporadickĂ˝
Elementy dráhy meteoroidu:
Vzdálenost v periheliu: 0,994 AU
Excentricita: 0,885
Sklon dráhy: 59,8°
Délka vzestupného uzlu: 164,1°
Argument perihelia: 166,0°
Střední anomálie: 0,4°
Epocha: 2022 SEP 07 01:08:05
orbit plot

NeinteraktivnĂ­ graf | InteraktivnĂ­ graf

position vs time
speed and acceleration