🇳🇴 🇬🇧 🇩🇪 🇨🇿 🇫🇮

Meteor, poloha: Fyresdal 2022-09-07 02:51:41 UTC

Soubor KML  |  InteraktivnĂ­ mapa

Mapa zobrazuje dráhy meteoru. Světlejší čáry ukazují směry od pozorovacích stanic při objevení se meteoru a tmavší čáry, kde byl naposledy viděn. Modrá šipka značí viditelnou dráhu meteoru.

static map
height profile
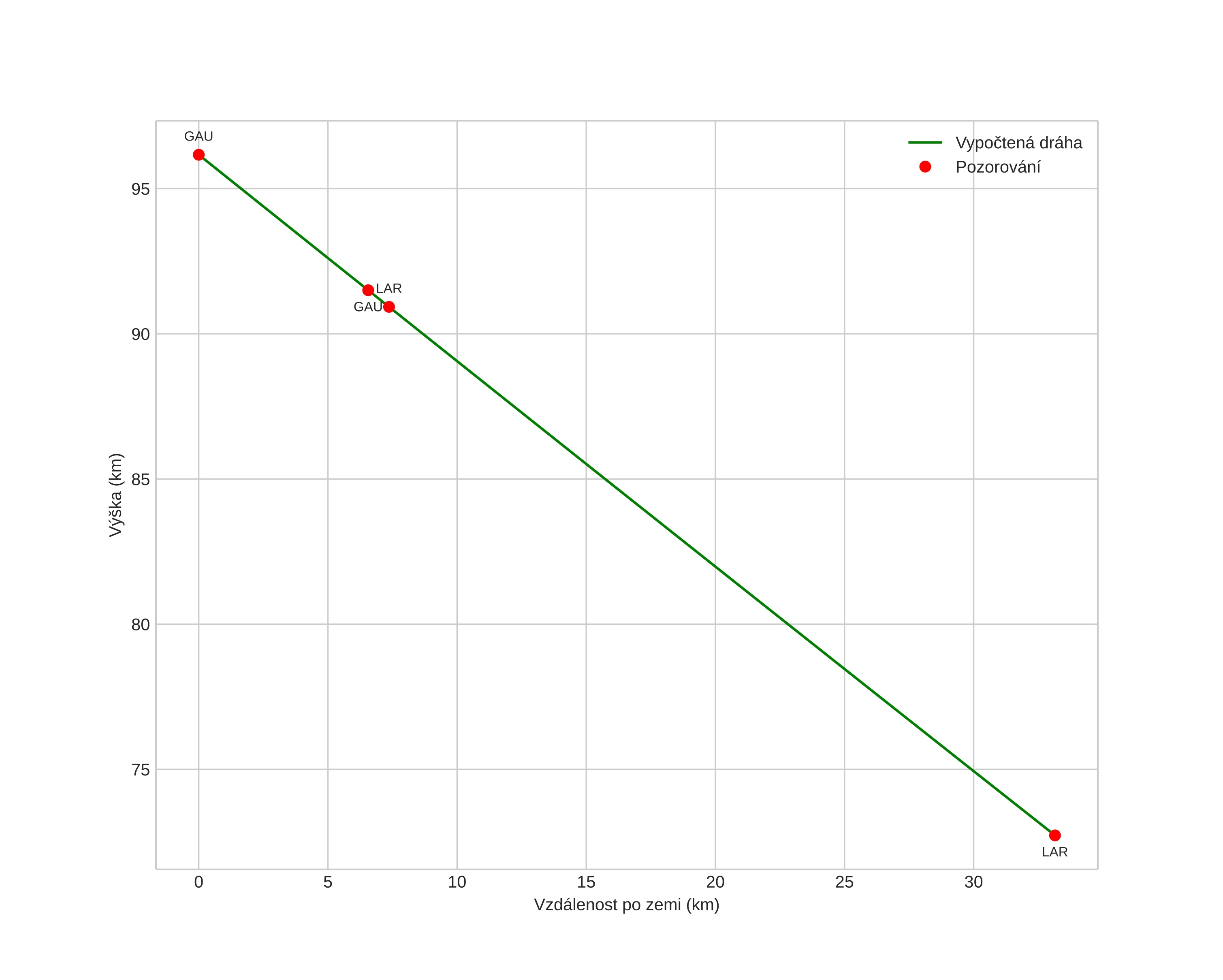
Atmosférická dráha meteoru:
Počáteční výška: 96,8 km
Konečná výška: 71,9 km
Počáteční poloha: 59,325N 7,679E
Konečná poloha: 59,097N 8,075E
Směr: 138,2°
Sklon: 36,3°
VstupnĂ­ rychlost: 23,8 km/s
Rektascenze radiantu: 18:47 (282,0°)
Deklinace radiantu: 51,3°
MeteorickĂ˝ roj: sporadickĂ˝
Elementy dráhy meteoroidu:
Vzdálenost v periheliu: 0,993 AU
Excentricita: 0,802
Sklon dráhy: 30,9°
Délka vzestupného uzlu: 164,2°
Argument perihelia: 194,7°
Střední anomálie: 359,0°
Epocha: 2022 SEP 07 02:51:41
orbit plot

NeinteraktivnĂ­ graf | InteraktivnĂ­ graf

position vs time
speed and acceleration