🇳🇴 🇬🇧 🇩🇪 🇨🇿 🇫🇮

Meteor, poloha: Hvide Sande 2022-09-17 03:20:05 UTC

Soubor KML  |  InteraktivnĂ­ mapa

Mapa zobrazuje dráhy meteoru. Světlejší čáry ukazují směry od pozorovacích stanic při objevení se meteoru a tmavší čáry, kde byl naposledy viděn. Modrá šipka značí viditelnou dráhu meteoru.

static map
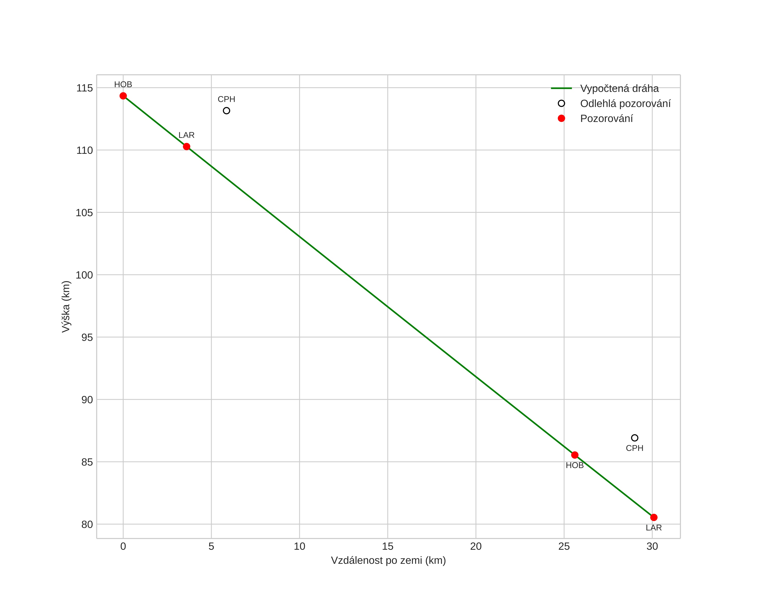
height profile
Atmosférická dráha meteoru:
Počáteční výška: 110,9 km
Konečná výška: 83,2 km
Počáteční poloha: 55,729N 8,340E
Konečná poloha: 55,903N 8,090E
Směr: 321,3°
Sklon: 48,1°
VstupnĂ­ rychlost: 73,0 km/s
Rektascenze radiantu: 05:20 (80,0°)
Deklinace radiantu: 18,4°
MeteorickĂ˝ roj: sporadickĂ˝
Elementy dráhy meteoroidu:
Vzdálenost v periheliu: 0,993 AU
Excentricita: 1,067
Sklon dráhy: 172,0°
Délka vzestupného uzlu: 353,9°
Argument perihelia: 12,3°
Střední anomálie: -0,2°
Epocha: 2022 SEP 17 03:20:05
orbit plot

NeinteraktivnĂ­ graf | InteraktivnĂ­ graf

position vs time
speed and acceleration