🇳🇴 🇬🇧 🇩🇪 🇨🇿 🇫🇮

Meteor, poloha: Kungshamn 2022-09-18 20:22:13 UTC

Soubor KML  |  InteraktivnĂ­ mapa

Mapa zobrazuje dráhy meteoru. Světlejší čáry ukazují směry od pozorovacích stanic při objevení se meteoru a tmavší čáry, kde byl naposledy viděn. Modrá šipka značí viditelnou dráhu meteoru.

static map
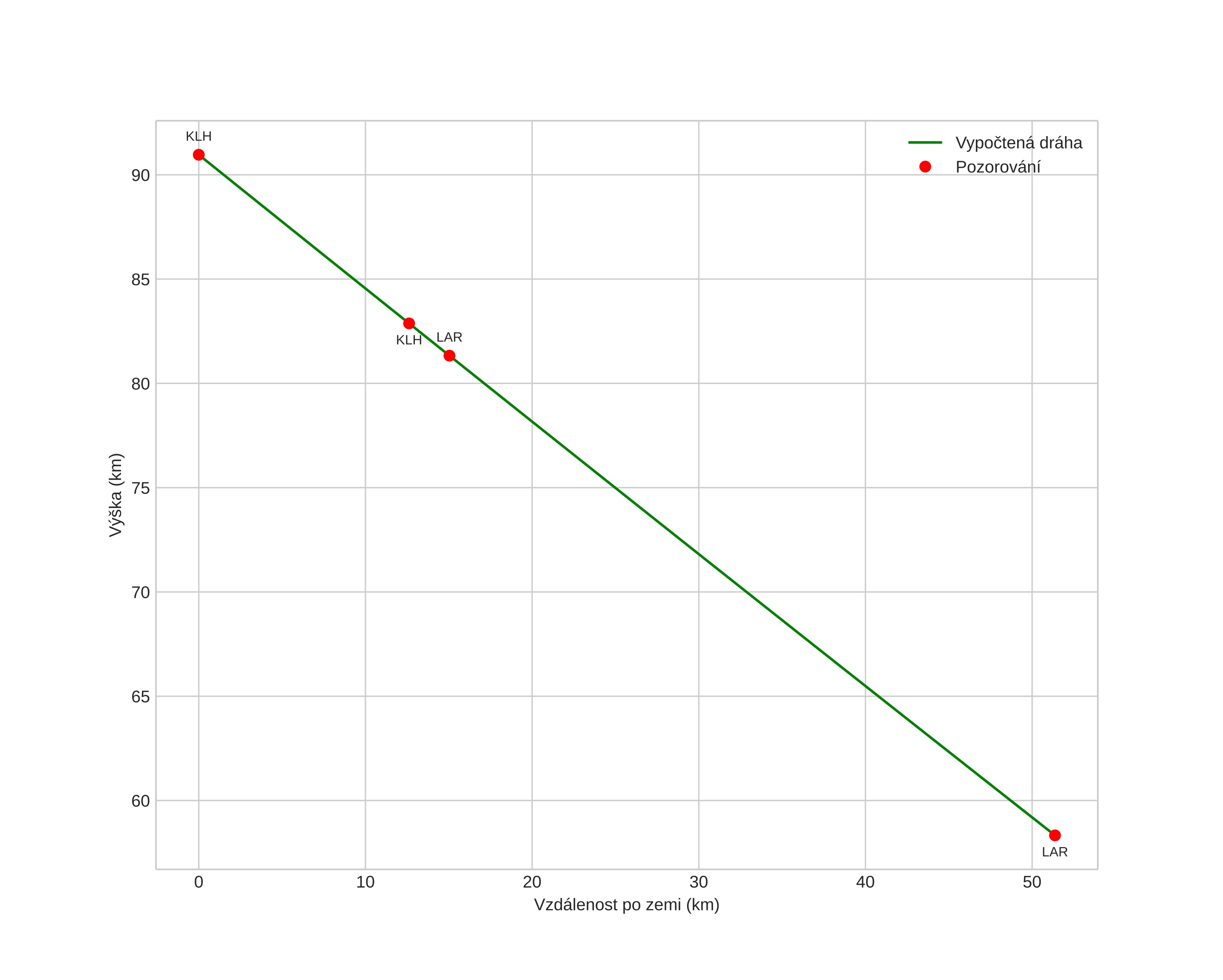
height profile
Atmosférická dráha meteoru:
Počáteční výška: 90,8 km
Konečná výška: 58,3 km
Počáteční poloha: 57,895N 11,931E
Konečná poloha: 58,208N 11,289E
Směr: 312,9°
Sklon: 32,3°
VstupnĂ­ rychlost: 79,7 km/s
Rektascenze radiantu: 23:34 (353,6°)
Deklinace radiantu: 8,0°
MeteorickĂ˝ roj: sporadickĂ˝
Elementy dráhy meteoroidu:
Vzdálenost v periheliu: 0,287 AU
Excentricita: 2,696
Sklon dráhy: 26,5°
Délka vzestupného uzlu: 175,6°
Argument perihelia: 268,9°
Střední anomálie: -275,1°
Epocha: 2022 SEP 18 20:22:13
orbit plot

NeinteraktivnĂ­ graf | InteraktivnĂ­ graf

position vs time
speed and acceleration