🇳🇴 🇬🇧 🇩🇪 🇨🇿 🇫🇮

Meteor, poloha: Egersund 2022-09-19 19:28:13 UTC

Soubor KML  |  InteraktivnĂ­ mapa

Mapa zobrazuje dráhy meteoru. Světlejší čáry ukazují směry od pozorovacích stanic při objevení se meteoru a tmavší čáry, kde byl naposledy viděn. Modrá šipka značí viditelnou dráhu meteoru.

static map
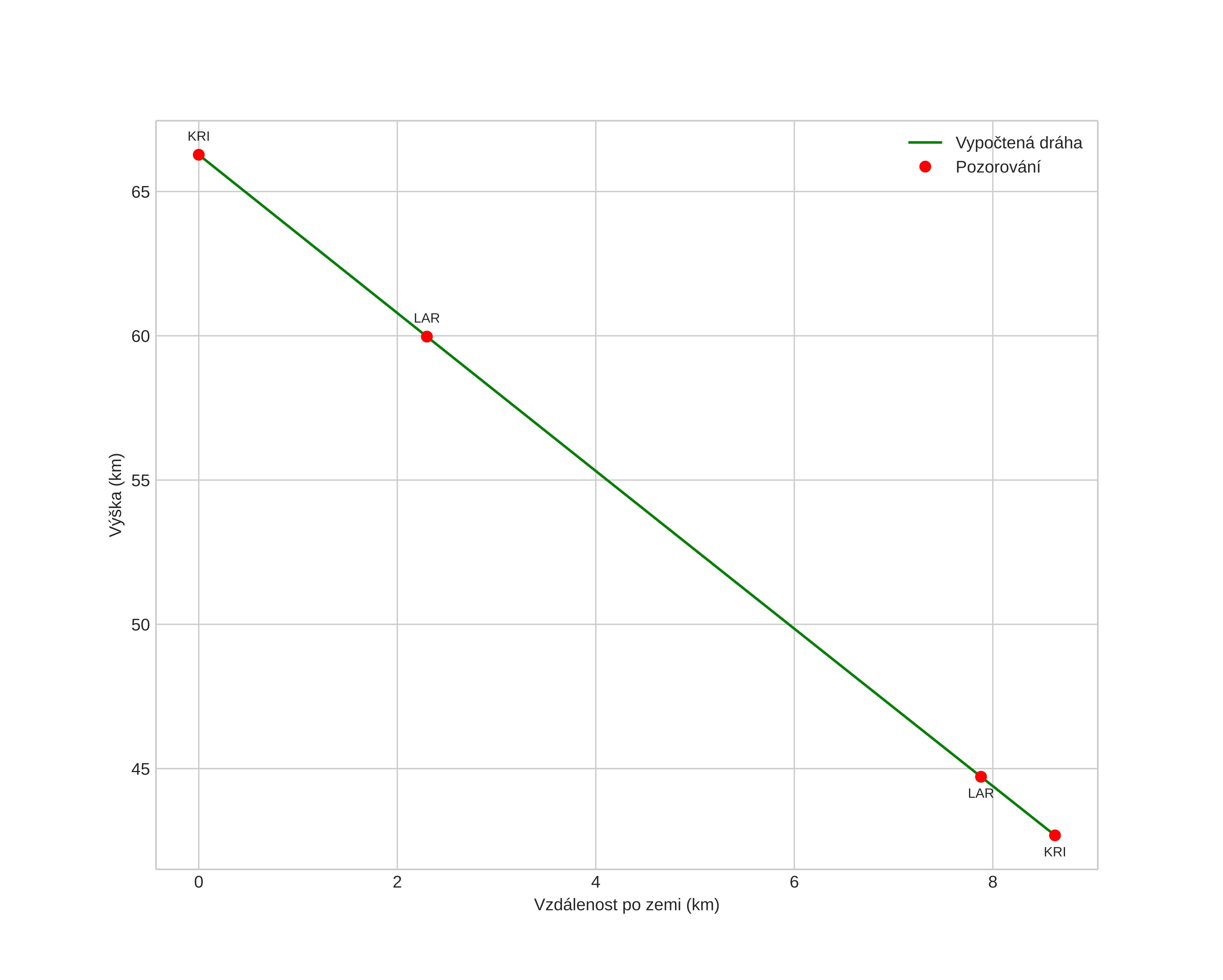
height profile
Atmosférická dráha meteoru:
Počáteční výška: 65,5 km
Konečná výška: 45,9 km
Počáteční poloha: 57,134N 5,595E
Konečná poloha: 57,090N 5,542E
Směr: 213,7°
Sklon: 73,5°
VstupnĂ­ rychlost: 11,7 km/s
Rektascenze radiantu: 22:52 (343,1°)
Deklinace radiantu: 73,4°
MeteorickĂ˝ roj: sporadickĂ˝
Elementy dráhy meteoroidu:
Vzdálenost v periheliu: 0,869 AU
Excentricita: 0,079
Sklon dráhy: 6,3°
Délka vzestupného uzlu: 176,5°
Argument perihelia: 326,6°
Střední anomálie: 218,6°
Epocha: 2022 SEP 19 19:28:13
orbit plot

NeinteraktivnĂ­ graf | InteraktivnĂ­ graf

position vs time
speed and acceleration