🇳🇴 🇬🇧 🇩🇪 🇨🇿 🇫🇮

Meteor, poloha: Jørpeland 2022-09-21 20:18:17 UTC

Soubor KML  |  InteraktivnĂ­ mapa

Mapa zobrazuje dráhy meteoru. Světlejší čáry ukazují směry od pozorovacích stanic při objevení se meteoru a tmavší čáry, kde byl naposledy viděn. Modrá šipka značí viditelnou dráhu meteoru.

static map
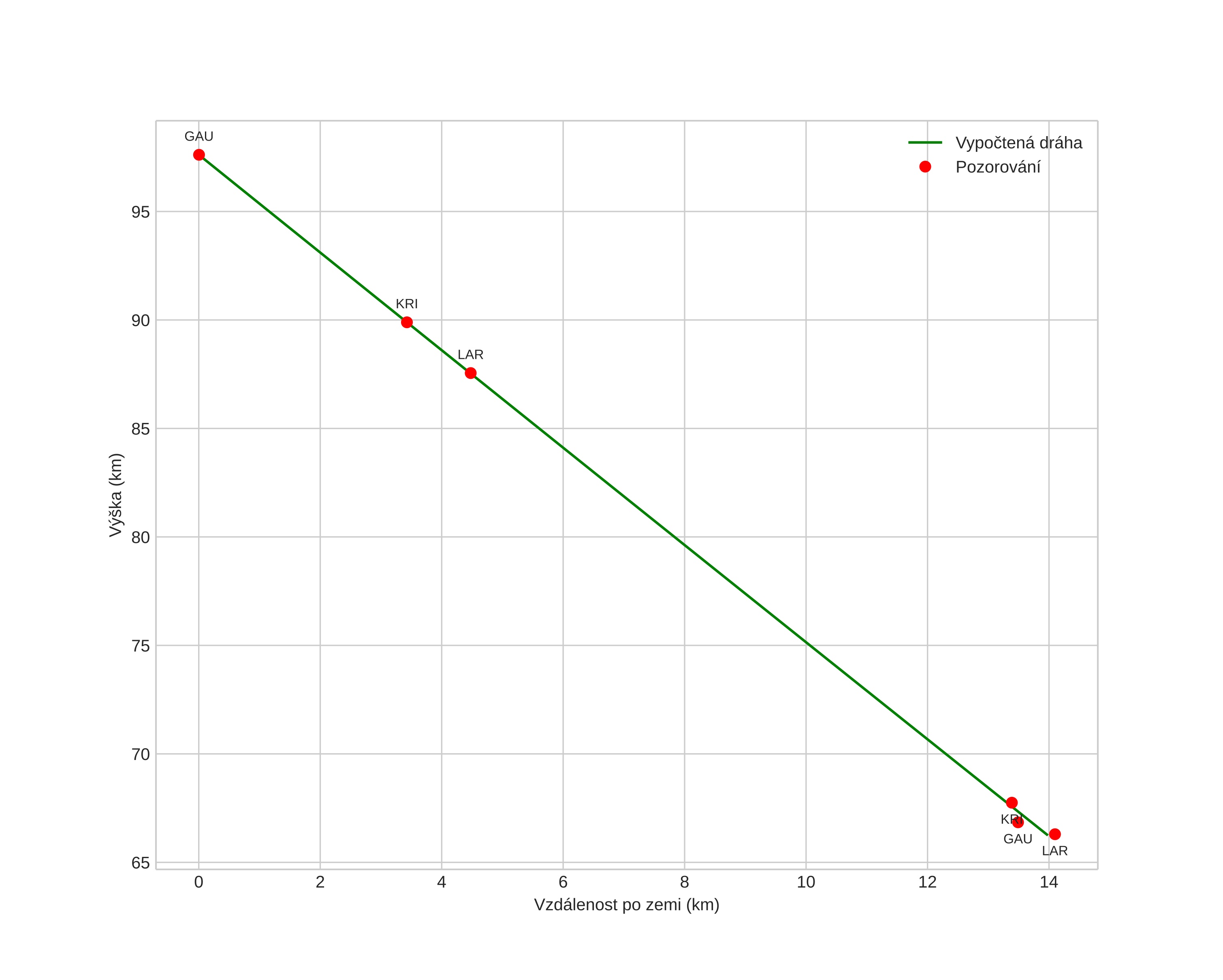
height profile
Atmosférická dráha meteoru:
Počáteční výška: 97,0 km
Konečná výška: 66,2 km
Počáteční poloha: 58,904N 5,817E
Konečná poloha: 58,870N 6,050E
Směr: 105,4°
Sklon: 65,7°
VstupnĂ­ rychlost: 25,1 km/s
Rektascenze radiantu: 17:27 (261,8°)
Deklinace radiantu: 55,8°
MeteorickĂ˝ roj: sporadickĂ˝
Elementy dráhy meteoroidu:
Vzdálenost v periheliu: 1,003 AU
Excentricita: 0,851
Sklon dráhy: 33,2°
Délka vzestupného uzlu: 178,5°
Argument perihelia: 176,2°
Střední anomálie: 0,2°
Epocha: 2022 SEP 21 20:18:17
orbit plot

NeinteraktivnĂ­ graf | InteraktivnĂ­ graf

position vs time
speed and acceleration