🇳🇴 🇬🇧 🇩🇪 🇨🇿 🇫🇮

Meteor, poloha: Sunne 2022-09-21 20:54:35 UTC

Soubor KML  |  InteraktivnĂ­ mapa

Mapa zobrazuje dráhy meteoru. Světlejší čáry ukazují směry od pozorovacích stanic při objevení se meteoru a tmavší čáry, kde byl naposledy viděn. Modrá šipka značí viditelnou dráhu meteoru.

static map
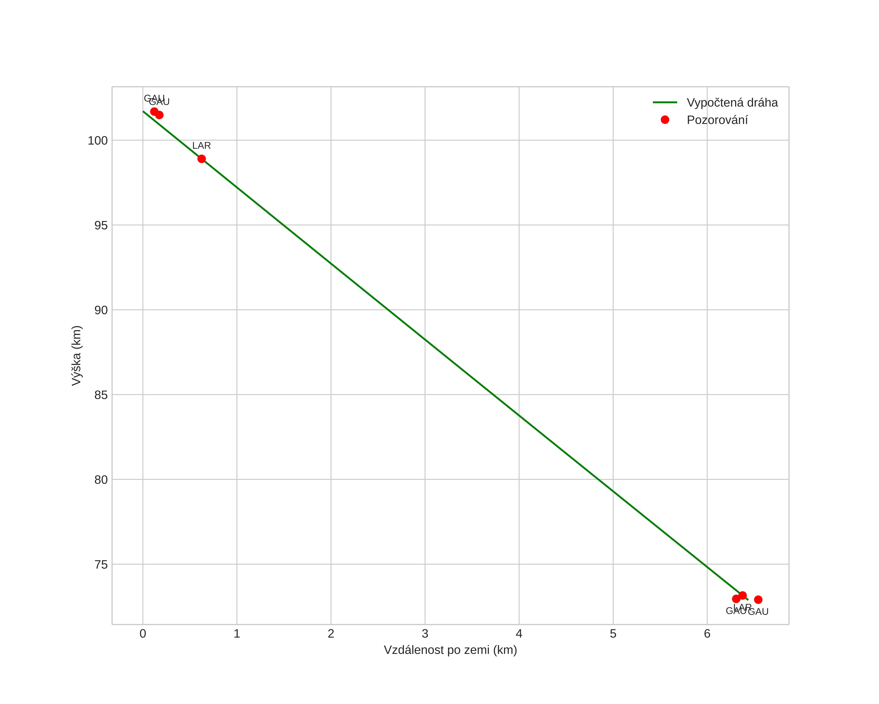
height profile
Atmosférická dráha meteoru:
Počáteční výška: 101,7 km
Konečná výška: 72,8 km
Počáteční poloha: 59,784N 12,985E
Konečná poloha: 59,730N 13,017E
Směr: 163,1°
Sklon: 77,8°
VstupnĂ­ rychlost: 34,3 km/s
Rektascenze radiantu: 20:58 (314,6°)
Deklinace radiantu: 71,1°
MeteorickĂ˝ roj: sporadickĂ˝
Elementy dráhy meteoroidu:
Vzdálenost v periheliu: 0,963 AU
Excentricita: 0,832
Sklon dráhy: 52,3°
Délka vzestupného uzlu: 178,5°
Argument perihelia: 204,4°
Střední anomálie: 358,7°
Epocha: 2022 SEP 21 20:54:35
orbit plot

NeinteraktivnĂ­ graf | InteraktivnĂ­ graf

position vs time
speed and acceleration