🇳🇴 🇬🇧 🇩🇪 🇨🇿 🇫🇮

Meteor Evenskjerin yllä 2022-09-25 18:36:14 UTC

KML-tiedosto  |  Interaktiivinen kartta

Kartta näyttää meteorin suuntahavainnot. Vaaleammat viivat näyttävät suunnat havaintoasemilta meteorin ilmestyessä, ja tummemmat viivat näyttävät, missä se viimeksi nähtiin. Sininen nuoli näyttää meteorin näkyvän lennon.

static map
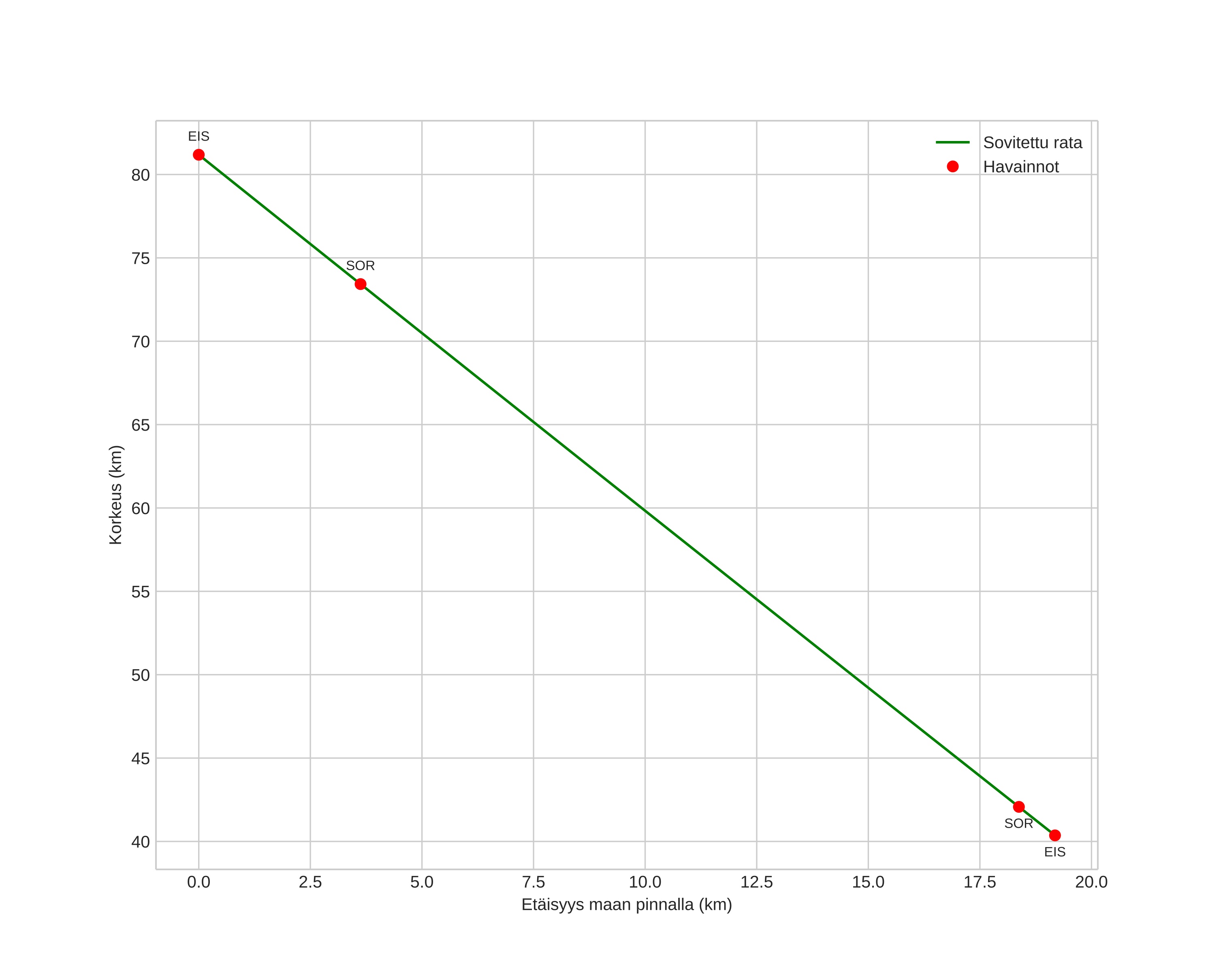
height profile
Meteorin ilmakehärata:
Alkukorkeus: 81,2 km
Loppukorkeus: 40,4 km
Alkupiste: 67,859N 16,217E
Loppupiste: 67,994N 16,520E
Suunta: 39,9°
Kallistuskulma: 64,3°
Tulonopeus: 23,6 km/s
Radiantin R,A,: 18:20 (275,1°)
Radiantin Dekl,: 43,4°
Meteoriparvi: Sporadinen
Meteoroidin rataelementit:
Perihelietäisyys: 1,002 AU
Eksentrisyys: 1,044
Inklinaatio: 26,8°
Nousevan solmun pituus: 182,4°
Perihelin argumentti: 183,9°
Keskianomalia: -0,0°
Epookki: 2022 SEP 25 18:36:14
orbit plot

Ei-interaktiivinen kuvaaja | Interaktiivinen kuvaaja

position vs time
speed and acceleration