🇳🇴 🇬🇧 🇩🇪 🇨🇿 🇫🇮

Meteor, poloha: Breivikbotn 2022-09-27 01:52:30 UTC

Soubor KML  |  InteraktivnĂ­ mapa

Mapa zobrazuje dráhy meteoru. Světlejší čáry ukazují směry od pozorovacích stanic při objevení se meteoru a tmavší čáry, kde byl naposledy viděn. Modrá šipka značí viditelnou dráhu meteoru.

static map
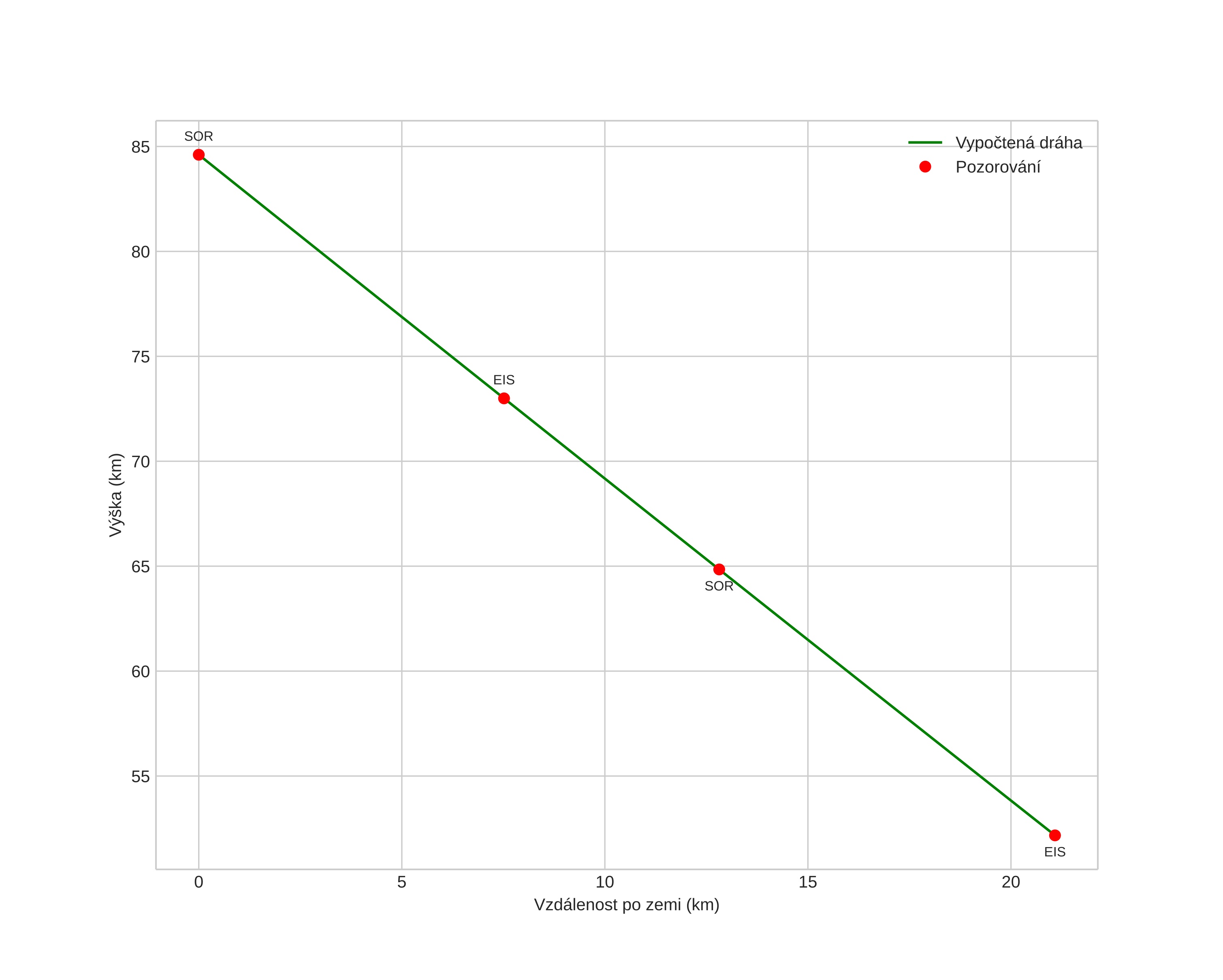
height profile
Atmosférická dráha meteoru:
Počáteční výška: 86,0 km
Konečná výška: 59,9 km
Počáteční poloha: 71,413N 22,044E
Konečná poloha: 71,386N 22,320E
Směr: 107,4°
Sklon: 68,5°
VstupnĂ­ rychlost: 47,0 km/s
Rektascenze radiantu: 23:36 (354,0°)
Deklinace radiantu: 66,0°
MeteorickĂ˝ roj: sporadickĂ˝
Elementy dráhy meteoroidu:
Vzdálenost v periheliu: 0,845 AU
Excentricita: 1,392
Sklon dráhy: 67,6°
Délka vzestupného uzlu: 183,6°
Argument perihelia: 223,1°
Střední anomálie: -7,7°
Epocha: 2022 SEP 27 01:52:30
orbit plot

NeinteraktivnĂ­ graf | InteraktivnĂ­ graf

position vs time
speed and acceleration