🇳🇴 🇬🇧 🇩🇪 🇨🇿 🇫🇮

Meteor, poloha: Hanstholm 2022-09-30 00:23:48 UTC

Soubor KML  |  InteraktivnĂ­ mapa

Mapa zobrazuje dráhy meteoru. Světlejší čáry ukazují směry od pozorovacích stanic při objevení se meteoru a tmavší čáry, kde byl naposledy viděn. Modrá šipka značí viditelnou dráhu meteoru.

static map
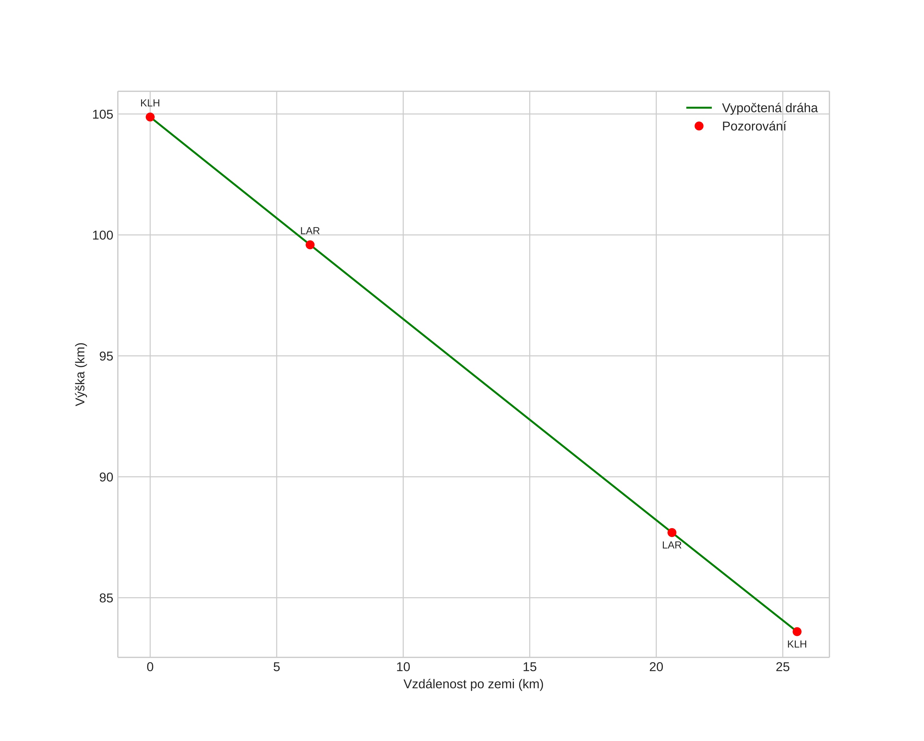
height profile
Atmosférická dráha meteoru:
Počáteční výška: 104,9 km
Konečná výška: 83,6 km
Počáteční poloha: 57,453N 8,983E
Konečná poloha: 57,602N 8,656E
Směr: 310,5°
Sklon: 39,8°
VstupnĂ­ rychlost: 61,6 km/s
Rektascenze radiantu: 04:02 (60,6°)
Deklinace radiantu: 15,2°
MeteorickĂ˝ roj: sporadickĂ˝
Elementy dráhy meteoroidu:
Vzdálenost v periheliu: 0,240 AU
Excentricita: 0,965
Sklon dráhy: 164,0°
Délka vzestupného uzlu: 6,5°
Argument perihelia: 123,3°
Střední anomálie: 358,0°
Epocha: 2022 SEP 30 00:23:48
orbit plot

NeinteraktivnĂ­ graf | InteraktivnĂ­ graf

position vs time
speed and acceleration