🇳🇴 🇬🇧 🇩🇪 🇨🇿 🇫🇮

Meteor Tromsøin yllä 2022-10-02 03:37:04 UTC

KML-tiedosto  |  Interaktiivinen kartta

Kartta näyttää meteorin suuntahavainnot. Vaaleammat viivat näyttävät suunnat havaintoasemilta meteorin ilmestyessä, ja tummemmat viivat näyttävät, missä se viimeksi nähtiin. Sininen nuoli näyttää meteorin näkyvän lennon.

static map
height profile
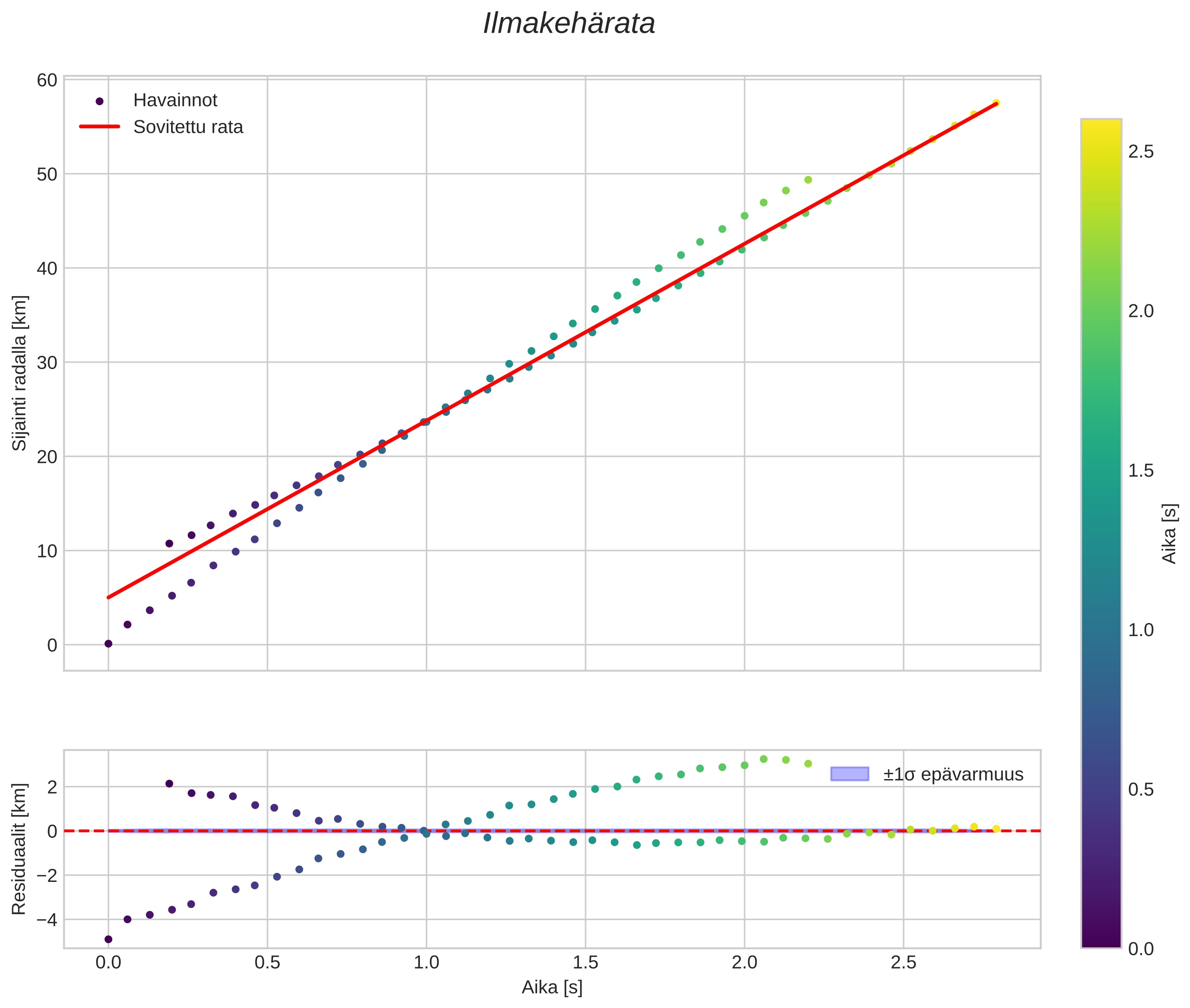
Meteorin ilmakehärata:
Alkukorkeus: 59,8 km
Loppukorkeus: 46,5 km
Alkupiste: 69,332N 18,083E
Loppupiste: 69,708N 19,016E
Suunta: 40,6°
Kallistuskulma: 13,5°
Tulonopeus: 18,8 km/s
Radiantin R,A,: 02:43 (41,0°)
Radiantin Dekl,: -11,8°
Meteoriparvi: Sporadinen
Meteoroidin rataelementit:
Perihelietäisyys: 0,469 AU
Eksentrisyys: 0,473
Inklinaatio: 15,9°
Nousevan solmun pituus: 8,6°
Perihelin argumentti: 130,9°
Keskianomalia: 280,9°
Epookki: 2022 OCT 02 03:37:04
orbit plot

Ei-interaktiivinen kuvaaja | Interaktiivinen kuvaaja

position vs time
speed and acceleration

Skibotn (SKI) cam4


gnomonic
Videot:
• Gnomoninen
• Gnomoninen koordinaateilla
• Alkuperäinen
• Alkuperäinen koordinaateilla
Kuvat:
• Gnomoninen
• Gnomoninen koordinaateilla
• Gnomoninen merkinnöillä
• Alkuperäinen
• Alkuperäinen koordinaateilla
• Alkuperäinen maskilla
Tekstitiedostot:
• Havaintoraportti
• Observaatio
• Koordinaatit
• Virheilmoitukset
• Loki
Kirkkaus

Sorreisa (SOR) cam4

gnomonic
Videot:
• Alkuperäinen
Kuvat:
• Alkuperäinen
Tekstitiedostot:
• Havaintoraportti
• Observaatio
• Koordinaatit
• Virheilmoitukset
• Loki
Kirkkaus