🇳🇴 🇬🇧 🇩🇪 🇨🇿 🇫🇮

Meteor, poloha: Risør 2022-10-02 19:06:35 UTC

Soubor KML  |  InteraktivnĂ­ mapa

Mapa zobrazuje dráhy meteoru. Světlejší čáry ukazují směry od pozorovacích stanic při objevení se meteoru a tmavší čáry, kde byl naposledy viděn. Modrá šipka značí viditelnou dráhu meteoru.

static map
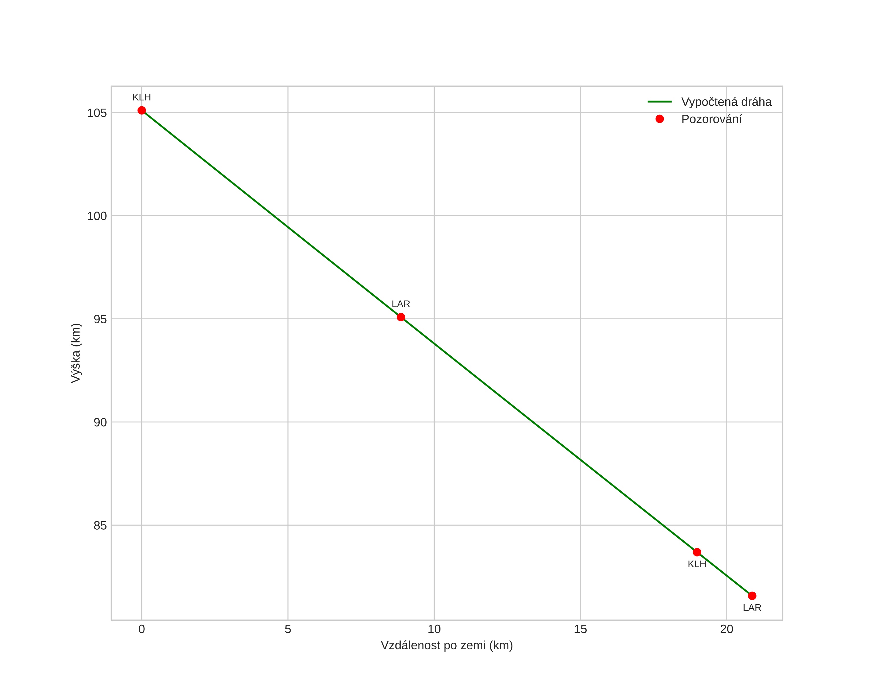
height profile
Atmosférická dráha meteoru:
Počáteční výška: 105,1 km
Konečná výška: 81,6 km
Počáteční poloha: 58,296N 9,737E
Konečná poloha: 58,151N 9,510E
Směr: 219,7°
Sklon: 48,4°
VstupnĂ­ rychlost: 51,6 km/s
Rektascenze radiantu: 02:54 (43,7°)
Deklinace radiantu: 64,6°
MeteorickĂ˝ roj: sporadickĂ˝
Elementy dráhy meteoroidu:
Vzdálenost v periheliu: 0,738 AU
Excentricita: 0,957
Sklon dráhy: 88,5°
Délka vzestupného uzlu: 189,3°
Argument perihelia: 242,5°
Střední anomálie: 359,5°
Epocha: 2022 OCT 02 19:06:35
orbit plot

NeinteraktivnĂ­ graf | InteraktivnĂ­ graf

position vs time
speed and acceleration