🇳🇴 🇬🇧 🇩🇪 🇨🇿 🇫🇮

Meteor Tromsøin yllä 2022-10-02 20:48:40 UTC

KML-tiedosto  |  Interaktiivinen kartta

Kartta näyttää meteorin suuntahavainnot. Vaaleammat viivat näyttävät suunnat havaintoasemilta meteorin ilmestyessä, ja tummemmat viivat näyttävät, missä se viimeksi nähtiin. Sininen nuoli näyttää meteorin näkyvän lennon.

static map
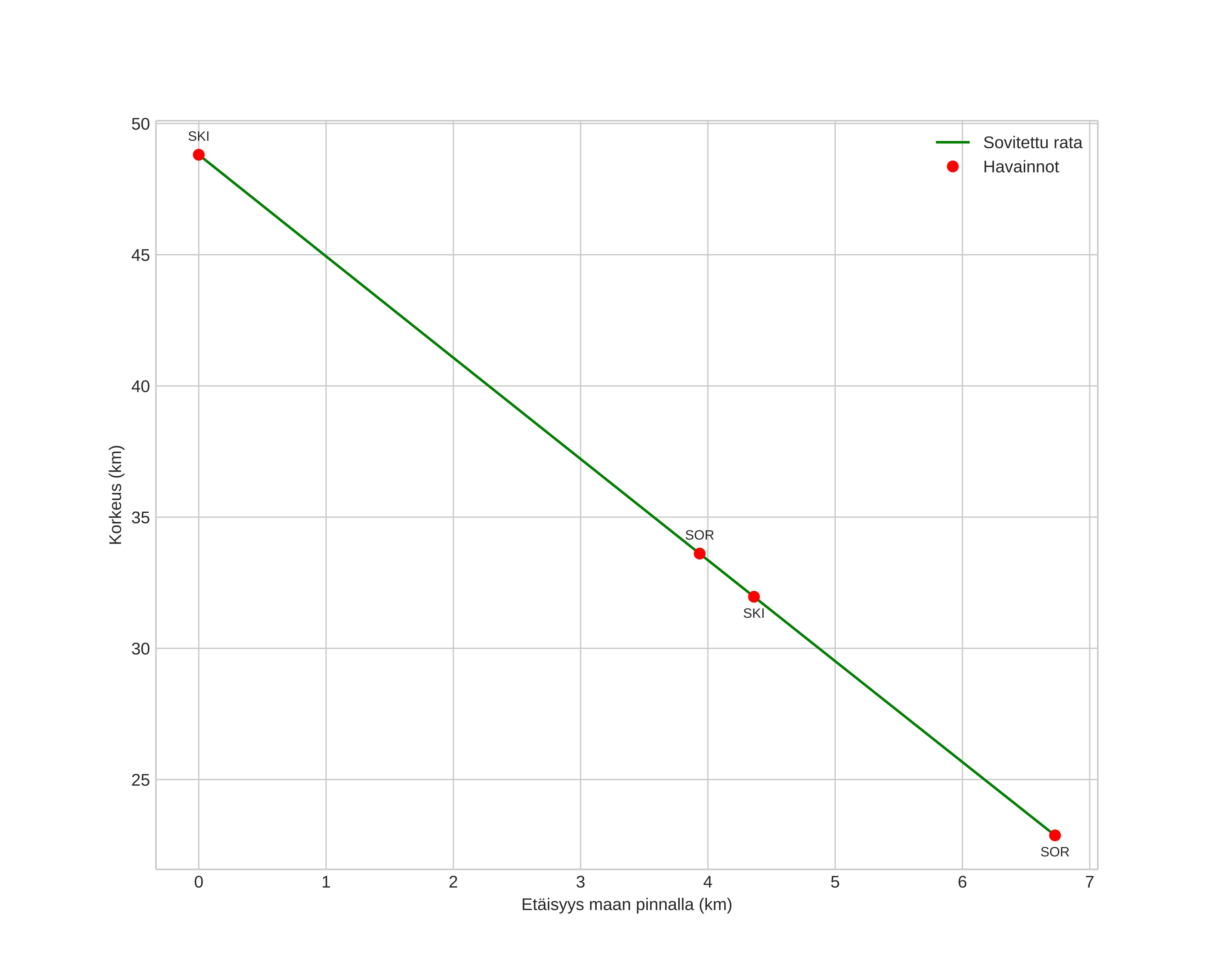
height profile
Meteorin ilmakehärata:
Alkukorkeus: 48,8 km
Loppukorkeus: 22,9 km
Alkupiste: 69,833N 18,173E
Loppupiste: 69,856N 18,334E
Suunta: 66,8°
Kallistuskulma: 75,5°
Tulonopeus: 16,9 km/s
Radiantin R,A,: 20:38 (309,7°)
Radiantin Dekl,: 59,0°
Meteoriparvi: Sporadinen
Meteoroidin rataelementit:
Perihelietäisyys: 0,956 AU
Eksentrisyys: 0,285
Inklinaatio: 21,4°
Nousevan solmun pituus: 189,3°
Perihelin argumentti: 216,9°
Keskianomalia: 339,7°
Epookki: 2022 OCT 02 20:48:40
orbit plot

Ei-interaktiivinen kuvaaja | Interaktiivinen kuvaaja

position vs time
speed and acceleration