🇳🇴 🇬🇧 🇩🇪 🇨🇿 🇫🇮

Meteor, poloha: Bagn 2022-10-06 22:18:41 UTC

Soubor KML  |  InteraktivnĂ­ mapa

Mapa zobrazuje dráhy meteoru. Světlejší čáry ukazují směry od pozorovacích stanic při objevení se meteoru a tmavší čáry, kde byl naposledy viděn. Modrá šipka značí viditelnou dráhu meteoru.

static map
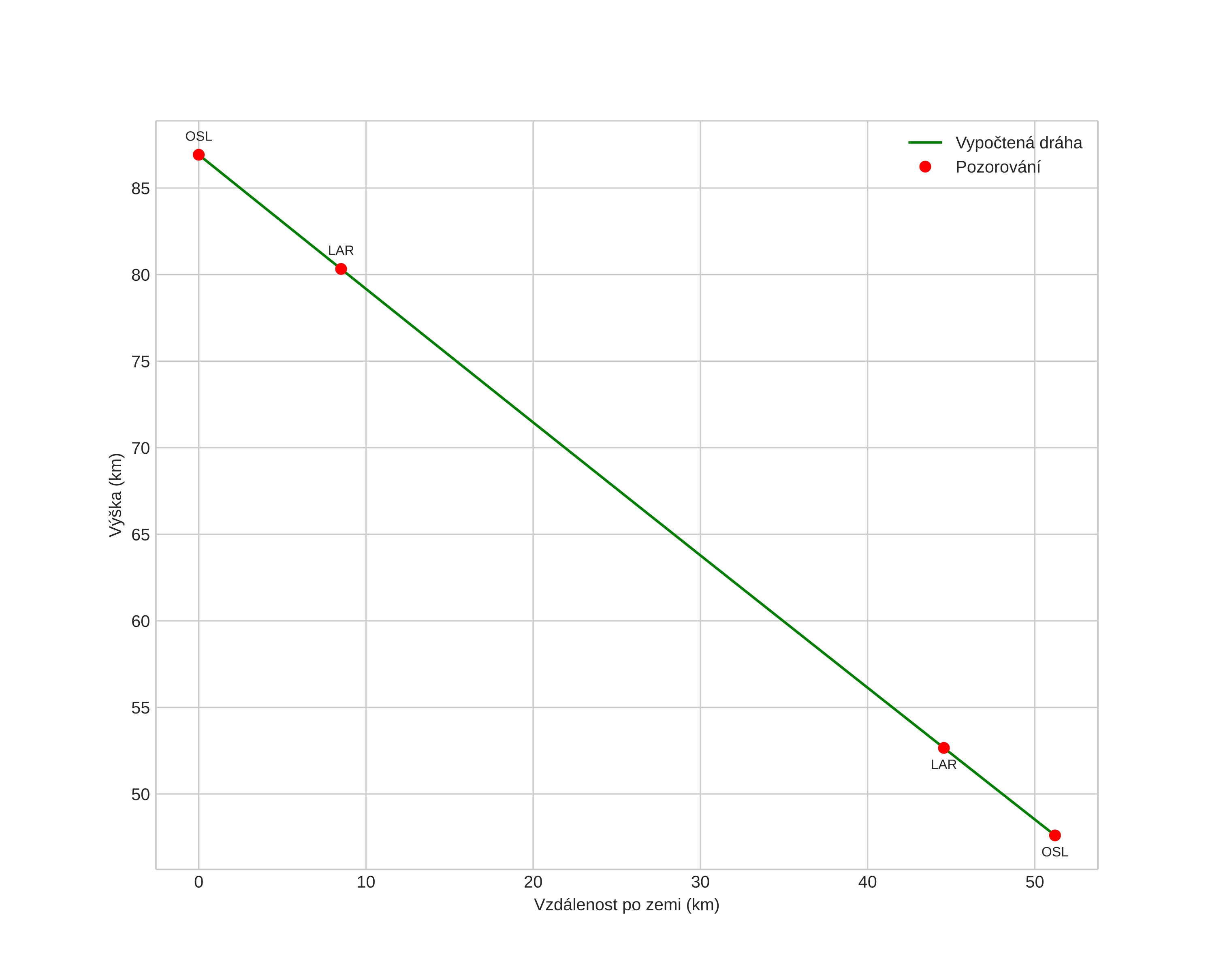
height profile
Atmosférická dráha meteoru:
Počáteční výška: 87,6 km
Konečná výška: 47,6 km
Počáteční poloha: 60,296N 9,320E
Konečná poloha: 60,763N 9,389E
Směr: 4,1°
Sklon: 37,5°
VstupnĂ­ rychlost: 18,9 km/s
Rektascenze radiantu: 23:39 (354,9°)
Deklinace radiantu: 1,8°
MeteorickĂ˝ roj: sporadickĂ˝
Elementy dráhy meteoroidu:
Vzdálenost v periheliu: 0,795 AU
Excentricita: 0,672
Sklon dráhy: 1,6°
Délka vzestupného uzlu: 193,3°
Argument perihelia: 240,7°
Střední anomálie: 349,6°
Epocha: 2022 OCT 06 22:18:41
orbit plot

NeinteraktivnĂ­ graf | InteraktivnĂ­ graf

position vs time
speed and acceleration