🇳🇴 🇬🇧 🇩🇪 🇨🇿 🇫🇮

Meteor, poloha: Voss 2022-10-11 23:03:42 UTC

Soubor KML  |  InteraktivnĂ­ mapa

Mapa zobrazuje dráhy meteoru. Světlejší čáry ukazují směry od pozorovacích stanic při objevení se meteoru a tmavší čáry, kde byl naposledy viděn. Modrá šipka značí viditelnou dráhu meteoru.

static map
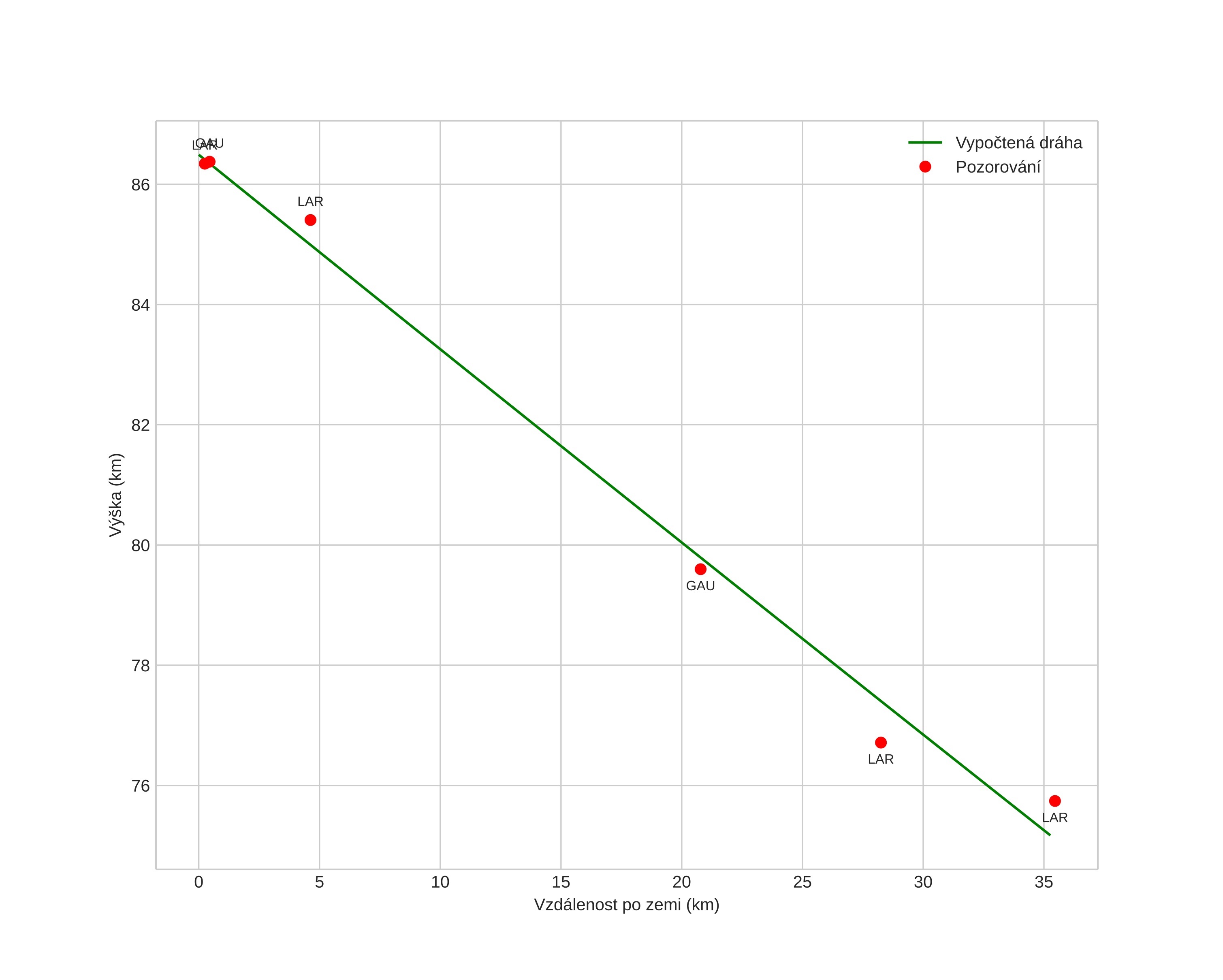
height profile
Atmosférická dráha meteoru:
Počáteční výška: 96,2 km
Konečná výška: 81,8 km
Počáteční poloha: 60,367N 6,763E
Konečná poloha: 60,664N 6,457E
Směr: 333,3°
Sklon: 21,2°
VstupnĂ­ rychlost: 35,9 km/s
Rektascenze radiantu: 02:31 (37,8°)
Deklinace radiantu: -7,6°
MeteorickĂ˝ roj: sporadickĂ˝
Elementy dráhy meteoroidu:
Vzdálenost v periheliu: 0,367 AU
Excentricita: 0,928
Sklon dráhy: 29,5°
Délka vzestupného uzlu: 18,3°
Argument perihelia: 108,2°
Střední anomálie: 356,6°
Epocha: 2022 OCT 11 23:03:42
orbit plot

NeinteraktivnĂ­ graf | InteraktivnĂ­ graf

position vs time
speed and acceleration