🇳🇴 🇬🇧 🇩🇪 🇨🇿 🇫🇮

Meteor, poloha: Gratangen 2022-10-15 04:30:39 UTC

Soubor KML  |  InteraktivnĂ­ mapa

Mapa zobrazuje dráhy meteoru. Světlejší čáry ukazují směry od pozorovacích stanic při objevení se meteoru a tmavší čáry, kde byl naposledy viděn. Modrá šipka značí viditelnou dráhu meteoru.

static map
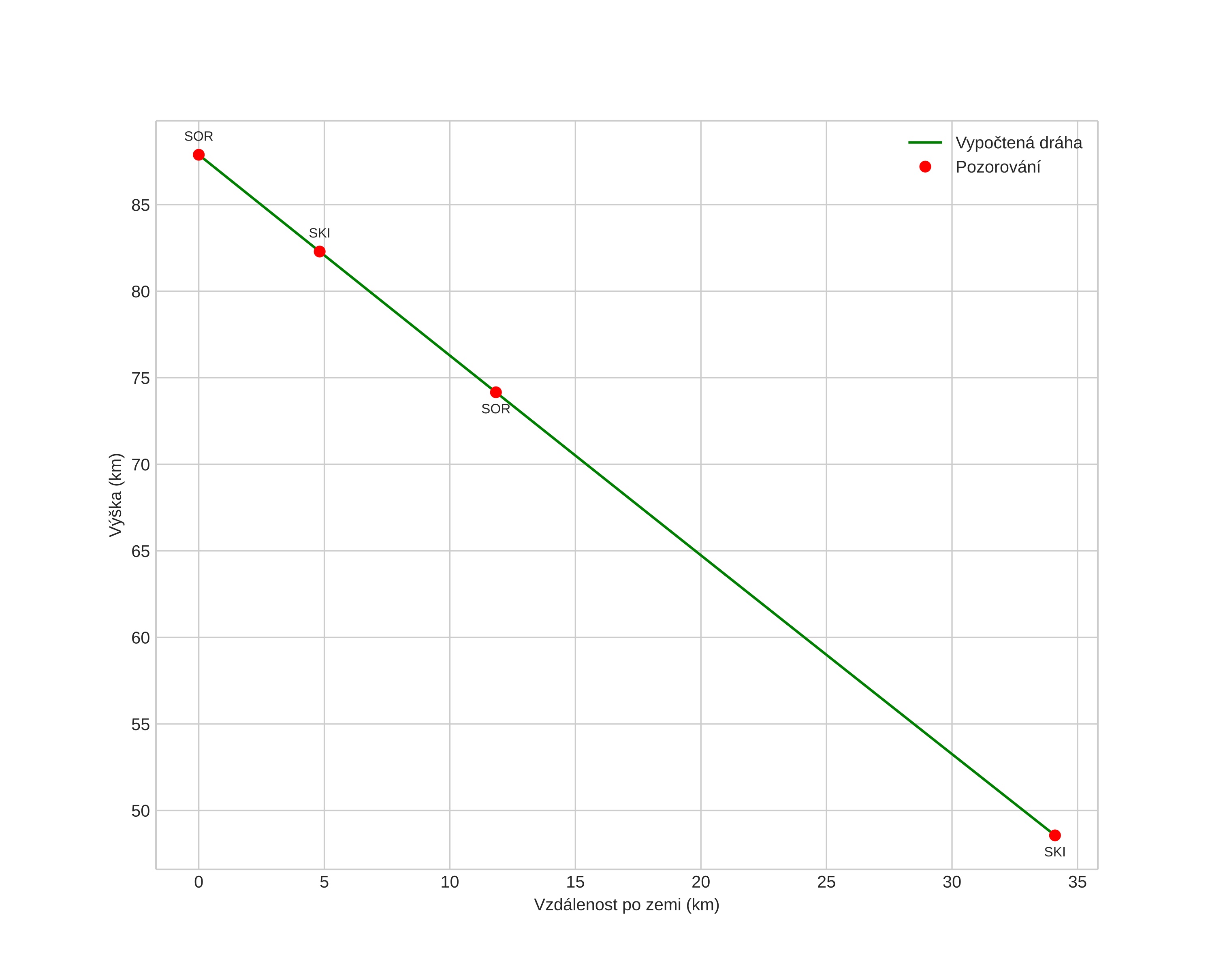
height profile
Atmosférická dráha meteoru:
Počáteční výška: 87,9 km
Konečná výška: 48,6 km
Počáteční poloha: 68,781N 17,928E
Konečná poloha: 68,482N 17,736E
Směr: 193,3°
Sklon: 49,1°
VstupnĂ­ rychlost: 27,7 km/s
Rektascenze radiantu: 17:44 (266,0°)
Deklinace radiantu: 67,6°
MeteorickĂ˝ roj: sporadickĂ˝
Elementy dráhy meteoroidu:
Vzdálenost v periheliu: 0,997 AU
Excentricita: 0,679
Sklon dráhy: 41,0°
Délka vzestupného uzlu: 201,5°
Argument perihelia: 180,1°
Střední anomálie: 360,0°
Epocha: 2022 OCT 15 04:30:39
orbit plot

NeinteraktivnĂ­ graf | InteraktivnĂ­ graf

position vs time
speed and acceleration