🇳🇴 🇬🇧 🇩🇪 🇨🇿 🇫🇮

Meteor, poloha: Gratangen 2022-10-15 04:30:40 UTC

Soubor KML  |  InteraktivnĂ­ mapa

Mapa zobrazuje dráhy meteoru. Světlejší čáry ukazují směry od pozorovacích stanic při objevení se meteoru a tmavší čáry, kde byl naposledy viděn. Modrá šipka značí viditelnou dráhu meteoru.

static map
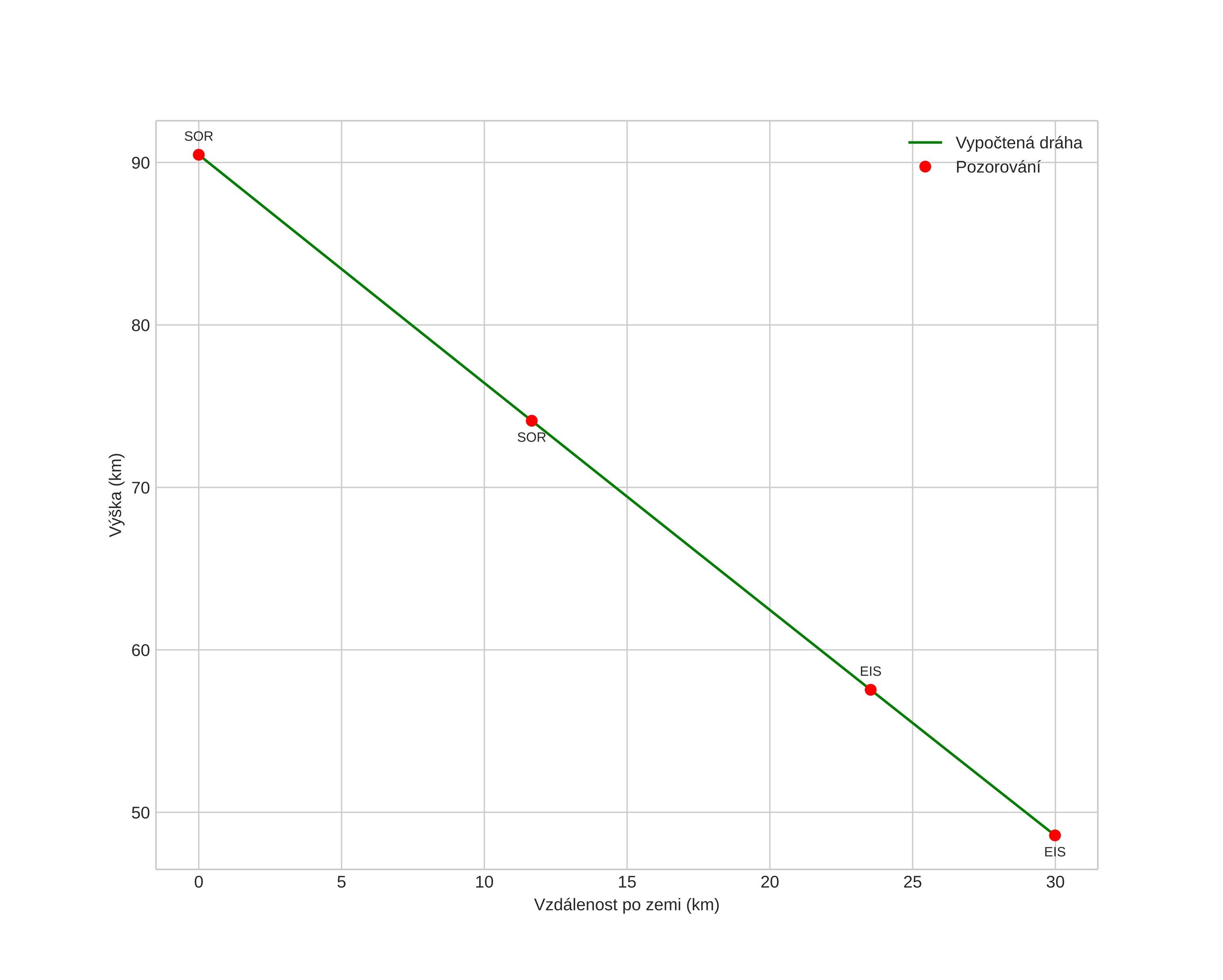
height profile
Atmosférická dráha meteoru:
Počáteční výška: 90,5 km
Konečná výška: 48,6 km
Počáteční poloha: 68,779N 17,927E
Konečná poloha: 68,515N 17,766E
Směr: 192,6°
Sklon: 54,4°
VstupnĂ­ rychlost: 30,0 km/s
Rektascenze radiantu: 17:32 (263,2°)
Deklinace radiantu: 73,4°
MeteorickĂ˝ roj: sporadickĂ˝
Elementy dráhy meteoroidu:
Vzdálenost v periheliu: 0,997 AU
Excentricita: 0,643
Sklon dráhy: 46,4°
Délka vzestupného uzlu: 201,5°
Argument perihelia: 183,2°
Střední anomálie: 359,5°
Epocha: 2022 OCT 15 04:30:40
orbit plot

NeinteraktivnĂ­ graf | InteraktivnĂ­ graf

position vs time
speed and acceleration